1
svar
186
visningar
Potensekvationer
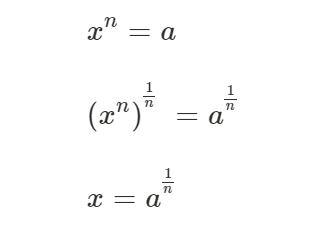
Har förstått att målet med potensekvationer är att få x att stå ensam, har de dividerat n vilket har gett 1/n här?

lagamba skrev:Har förstått att målet med potensekvationer är att få x att stå ensam, har de dividerat n vilket har gett 1/n här?
Nej, de har upphöjt båda sidorna till 1/n så att
