Potenser 1
Förenkla och svara i exakt form, utan att använda miniräknare.

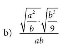
Lösning:
Jag tror att jag har gjort fel. Hur ska man tänka när det gäller såna uppgifter?
Hej
Du gör rätt till steg 3, börja med att förenkla täljaren:
Därefter kan du använda dig av att
Kommer du vidare?
Du gör rätt tills du skriver om roten ur som upphöjt till 0.5. Där gör du det onödigt svårt för dig. I steget efter försvinner magiskt potensen på nämnaren, och du stoppar in ett egenpåhittat plus i täljaren.
Dividera istället bort ett b inne i roten (b³/b=b²), och utnyttja att
haraldfreij skrev:Du gör rätt tills du skriver om roten ur som upphöjt till 0.5. Där gör du det onödigt svårt för dig. I steget efter försvinner magiskt potensen på nämnaren, och du stoppar in ett egenpåhittat plus i täljaren.
Dividera istället bort ett b inne i roten (b³/b=b²), och utnyttja att
Och sedan? Svaret blir 1/3 men hur?
Jonis10 har förenklat uttrycket - fortsätt!
Vad blir den där kvadratroten?
Bubo skrev:Jonis10 har förenklat uttrycket - fortsätt!
Vad blir den där kvadratroten?
Nej, det skall inte bli a+b högst upp i täljaren. Det står "gånger" mellan de båda faktorerna, inte plus.
Mariam1999 skrev:Bubo skrev:Jonis10 har förenklat uttrycket - fortsätt!
Vad blir den där kvadratroten?
Nej inte riktigt, lite repetition tror jag behövs:
Om du skulle vilja förenkla:
Hur skulle du då kunna förenkla
?
jonis10 skrev:Mariam1999 skrev:Bubo skrev:Jonis10 har förenklat uttrycket - fortsätt!
Vad blir den där kvadratroten?
Nej inte riktigt, lite repetition tror jag behövs:
Om du skulle vilja förenkla:
Hur skulle du då kunna förenkla
?