Potenser
Jag har gjort några egna uppgifter som jag har svårt att lösa.
Du har y = 12 * 3^7
A) Gör så att y = k * x^8 Lös k och x
B) Gör så att y = k * 10^x Lös k och x
C) Gör så att y = k * 4^x Lös k och x
D) Gör så att y = 5 * x^z Lös x och z
Exponenten ska helst vara ett heltal
Hur ska jag göra? Eller rättare sagt, börja?
Tack på förhand
A) Sätt upp ekvationen .
Du har nu två obekanta ( och ), men bara en ekvation. Det betyder att det finns oändligt många lösningar.
Men om du fixerar så kan du lösa ut ett värde på .
Bestäm t.ex. att .
Då blir ekvationen
Vi löser ut genom att dividera båda sidor med :
Kommer du vidare själv?
Hej! Så tänker jag:
A) y=4*3*3^7=4*3^8, k=4, x=3
B)y=4*3*3^7=4*3^8=4*10^lg3^8, K=4, x=lg3^8=8lg3
C)samma som B) fast basen ska vara 4 istället för 10
D)saknar lösning, för att vaken x eller z inte är bestämda.
mvh
Jerry
Yngve skrev:A) Sätt upp ekvationen .
Du har nu två obekanta ( och ), men bara en ekvation. Det betyder att det finns oändligt många lösningar.
Men om du fixerar så kan du lösa ut ett värde på .
Bestäm t.ex. att .
Då blir ekvationen
Vi löser ut genom att dividera båda sidor med :
Kommer du vidare själv?
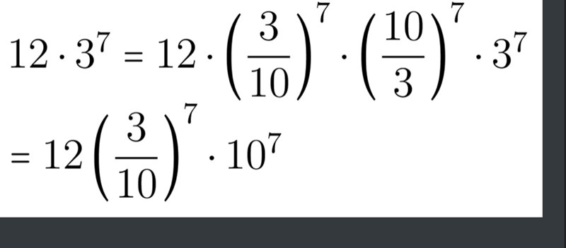
Säg att du har 12*3^7 och vill göra om till k * 3^x
Några personer jag känner online gjorde så: 

Detta är två olika lösningar och de fick att 12 * 3^7 = 2624,4 * 10^1 eller 26244 * 10^0
Jag förstod knappt deras lösningar så jag undrar om någon på Pluggakuten kan hjälpa mig. Jag vet att det finns oändligt många lösningar men hur hittar jag en lämplig lösning?
Den ekvationen du ställde upp kan jag enkelt svara på men det är inte den typen av problem jag är efter.
Jerry skrev:Hej! Så tänker jag:
A) y=4*3*3^7=4*3^8, k=4, x=3
B)y=4*3*3^7=4*3^8=4*10^lg3^8, K=4, x=lg3^8=8lg3
C)samma som B) fast basen ska vara 4 istället för 10
D)saknar lösning, för att vaken x eller z inte är bestämda.
mvh
Jerry
Tack men varför saknar den sista lösning för det är alltid två obestämda variabler i alla tal? Vad är det för skillnad på den sista?
Fysikguden1234 skrev:
Tack men varför saknar den sista lösning för det är alltid två obestämda variabler i alla tal? Vad är det för skillnad på den sista?
Nej det är ingen skillnad på den sista. Även den har oändligt antal lösningar.
Fysikguden1234 skrev:
Säg att du har 12*3^7 och vill göra om till k * 3^x
Några personer jag känner online gjorde så:
Detta är två olika lösningar och de fick att 12 * 3^7 = 2624,4 * 10^1 eller 26244 * 10^0
Jag förstod knappt deras lösningar så jag undrar om någon på Pluggakuten kan hjälpa mig. Jag vet att det finns oändligt många lösningar men hur hittar jag en lämplig lösning?
Vilket/vilka steg behöver du få mer förklaring av?
- Vi utgår från
- Vi förlänger med och får då
- Vi multiplicerar upp i täljaren och får då
- Vi flyttar ut från täljaren och får då
- Vi förkortar bråket med och får då
Den handskrivna lösningen är inte komplett, så den kan jag inte kommenteta.
Vad som sedan är en "lämplig" lösning är väl lite svårt att säga, det beror på vad du är ute efter.
Den ekvationen du ställde upp kan jag enkelt svara på men det är inte den typen av problem jag är efter.
OK, kan du beskriva lite mer detaljerat vad du är ute efter?
Yngve skrev:Fysikguden1234 skrev:Tack men varför saknar den sista lösning för det är alltid två obestämda variabler i alla tal? Vad är det för skillnad på den sista?
Nej det är ingen skillnad på den sista. Även den har oändligt antal lösningar.
Så varför saknar den lösning?
Om du har tid uppskattar jag även om du delar med dig av hur jag kan lösa dessa uppgifter även om de har många lösningar
Fysikguden1234 skrev:Yngve skrev:
Nej det är ingen skillnad på den sista. Även den har oändligt antal lösningar.
Så varför saknar den lösning?
Det gör den inte Även den har oändligt antal lösningar.
Om du har tid uppskattar jag även om du delar med dig av hur jag kan lösa dessa uppgifter även om de har många lösningar
Det har jag redan gjort i mitt första svar.
Om du vill ha andra typer av lösningar så får du beskriva vilken/vilka typer du är ute efter.
Yngve skrev:Fysikguden1234 skrev:Yngve skrev:Nej det är ingen skillnad på den sista. Även den har oändligt antal lösningar.
Så varför saknar den lösning?
Det gör den inte Även den har oändligt antal lösningar.
Om du har tid uppskattar jag även om du delar med dig av hur jag kan lösa dessa uppgifter även om de har många lösningar
Det har jag redan gjort i mitt första svar.
Om du vill ha andra typer av lösningar så får du beskriva vilken/vilka typer du är ute efter.
I ditt första svar så satte du in x=3. Då blir det inte två okända variabler. Hur tänkte personerna som skrev de två lösningarna. Kan du förklara det för mig
Yngve skrev:Fysikguden1234 skrev:Yngve skrev:Nej det är ingen skillnad på den sista. Även den har oändligt antal lösningar.
Så varför saknar den lösning?
Det gör den inte Även den har oändligt antal lösningar.
Om du har tid uppskattar jag även om du delar med dig av hur jag kan lösa dessa uppgifter även om de har många lösningar
Det har jag redan gjort i mitt första svar.
Om du vill ha andra typer av lösningar så får du beskriva vilken/vilka typer du är ute efter.
Jerry hade ganska bra svar men går det inte att hitta ett bra svar på D)?