3 svar
121 visningar
Ebba123456789 behöver inte mer hjälp
Ebba123456789 199
Postad: 14 apr 2024 13:26

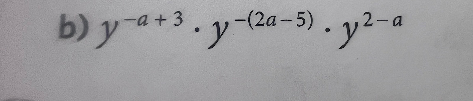
Potenser

Hur förenklar man detta.

jag har försökt men det går inte 

HJÄLP sNABBT

Yngve Online 42702
Postad: 14 apr 2024 13:33 Redigerad: 14 apr 2024 13:33

Börja med att använda potenslagen ab*ac =ab+c på var och en av de tre faktorerna.

sictransit 3421 – Livehjälpare
Postad: 14 apr 2024 13:34 Redigerad: 14 apr 2024 13:35

Som Yngve skriver så hjälpte jag dig nyss på en uppgift med samma potenslag. Där verkade det gå fint och det är är precis samma typ av problem.

Visst, här är det y istället för x och a istället för k, men principen är exakt densamma.

Ebba123456789 199
Postad: 14 apr 2024 13:57

Ok

Svara
Close