1 svar
67 visningar
lagamba behöver inte mer hjälp
lagamba 230
Postad: 25 apr 2023 14:28

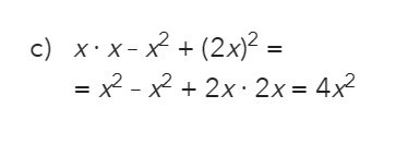
Potenser, får fel svar

Förstår inte varför svaret inte ska bli endast 4 här?

Tydligen räknar jag fel när jag gör såhär?
x2 – x2 = 0 och då är väl 2x · 2x = 4x
Och vet någon hur man skriver upphöjt på tangentbordet?

Laguna Online 31957
Postad: 25 apr 2023 14:38

Vad menar du med endast 4? Du skriver 4x senare.

2*2 är 4. Vad är x*x?

Upphöjt kan du göra här med den fjärde lilla symbolen i verktygsraden när du skriver. Den ser ut så här: x2.

Svara
Close