2
svar
78
visningar
Ma1o2 behöver inte mer hjälp
Potenslagar
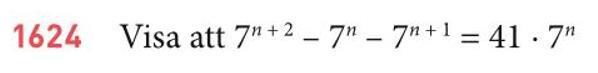
Uppgift:

Uträkningsmetod ifrån facit:

Hur exakt blir -7^n-7^1*7^n = -8*7^n ? Tacksam för svar!
7¹ är ju 7, så du drar först bort 7^n, och sedan 7 stycken 7^n till. Hur många 7^n har du då dragit bort?
haraldfreij skrev :7¹ är ju 7, så du drar först bort 7^n, och sedan 7 stycken 7^n till. Hur många 7^n har du då dragit bort?
Det var snabbt, tackar! Vet inte längre varför det förvirrade mig så mycket för fem minuter sedan.