4
svar
153
visningar
ankan01 behöver inte mer hjälp
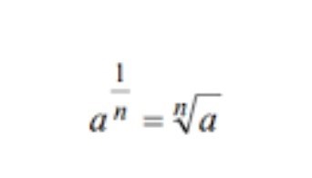
Potenslagar
Jag förstår inte varför denna formel stämmer, hur kan man bevisa den?
Höj båda leden till n:te potens så blir de båda a
matsC skrev:Höj båda leden till n:te potens så blir de båda a
Menar du såhär?
då får man ju att
?
Jag förstår fortfarande inte
Nej byt inte VL du använder men det står
matsC skrev:Nej byt inte VL du använder men det står
Jag läste fel. Trodde att det stod att 1/a^n = n roten ur a. Men det var ju a^1/2. Förstår detta nu, tack.