2
svar
142
visningar
gj123 behöver inte mer hjälp
potensregler
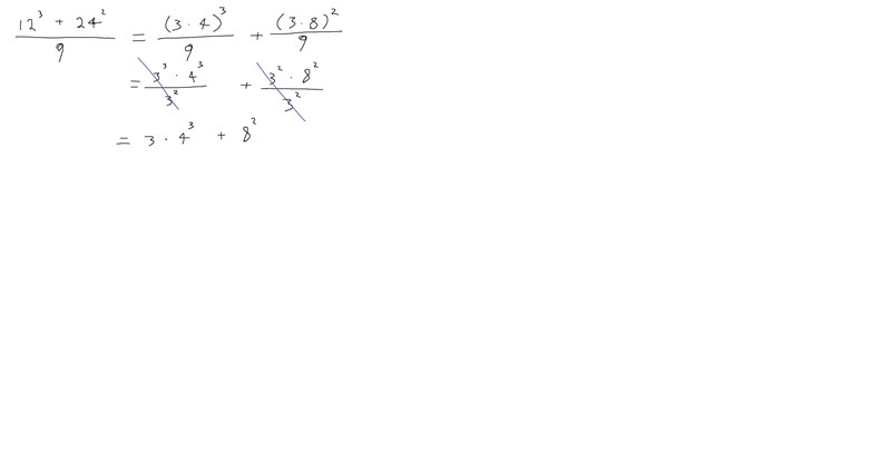
Har fått följande uppgift:
Skriv (123 + 242)9 som en potens.
Detta är så långt jag har kommit;
Någon som kan hjälpa mig vidare? Tack på förhand.

Redigerat
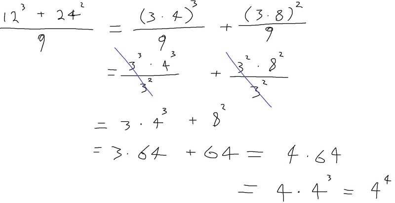
Jag tror att jag har löst uppgiften nu, men det skulle vara snällt om någon kunde lämna en mer effektiv lösning
Här:

Helbra lösning. Den kan även göras på ett enda bråkstreck med + bara i täljaren, men det blir just inget enklare.
I det här speciella fallet blir det (obetydligt) kortare om du faktoriserar 12 och 24 fullständigt från början
(eftersom de har så många lika faktorer)