Potential av ett vektorfält.
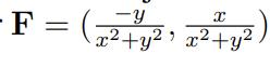
Försöker lösa potentialen av följande vektorfält:

Facit säger att potentialen blir följande (utan motivering):

Jag ser att vid integrering av x-komponenten vid avseende på x får man -arctan(x/y) + c(y) och dessutom arctan(y/x) + c(x) om man kollar på y-komponenten. Jag antar att jag på något sätt (efter använding av polära koordinater) ska få arctan(rsin(t)/rcost(t)) = arctan(tan(t)) = t. Däremot kommer jag inte längre än så. Tack för hjälp!
Hej och välkommen till Pluggakuten!
är definierad som , alternativt kan detta ses från definitionerna av x och y med avseende på r och .
Från integreringarna har vi att potentialen är lika med just detta uttryck, därmed .
Calle_K skrev:Hej och välkommen till Pluggakuten!
är definierad som , alternativt kan detta ses från definitionerna av x och y med avseende på r och .
Från integreringarna har vi att potentialen är lika med just detta uttryck, därmed .
Tack!
Förstår dock inte hur detta blir potentialen eftersom när jag integrerar upp med avseende på x får jag -arctan(x/y) + c(y) vilket inte blir rätt.
Det kan vara lite klurigt när man ser det första gången, men
då
Och integrationskonstanten, t.ex. , är godtycklig.
D4NIEL skrev:Det kan vara lite klurigt när man ser det första gången, men
då
Och integrationskonstanten, t.ex. , är godtycklig.
Tack så mycket! Nu förstår jag.