Potentialen i en punkt
Hej! Jag ska beräkna den elektriska potentialen i den röda punkten.


Skulle börja räkna på andra delen av problemet när jag kom på att linjesegmenten inte bidrar till potentialen i P. Har jag rätt i att potentialen är 0V i alla punkter på symmetrilinjen a mitt emellan L1 och L2. I sådana fall är jag så gott som klar, men jag har fått a angivet vilket gör att jag undrar om jag har fel. Använder ju inte a någon annanstans.
HannaKN skrev:Skulle börja räkna på andra delen av problemet när jag kom på att linjesegmenten inte bidrar till potentialen i P. Har jag rätt i att potentialen är 0V i alla punkter på symmetrilinjen a mitt emellan L1 och L2.
Det tror jag inte. Så staven har en ändlig längd. Laddningen har samma tecken på båda segmenten L1 och L2, så potentialerna adderas.
Jobbigt!
Jag tänker mig något sånt här. Generisk bild hittad på internet:

Finns det inget elektriskt fält så finns det inte heller någon elektrisk potential. Eller är det annorlunda eftersom min punkt P ligger i enda änden? Att mitt resonemang bara funkar för en punkt mitt mellan ändarna?
Fältet är noll mellan dessa plattor men potentialen (relativt till oändligt avstånd) är det inte (det går bara att räkna om laddningen är ändlig förstås, men du fattar). Det tar energi att ta en testladding från oändligt avstånd mot fältet till plattorna.
Här ett simuleringsprogram i tre dimensioner:
https://www.falstad.com/vector3de/
Om jag väljer två ändliga linjeladdningar ser ekvipotentiallinjerna ut så här:
https://www.falstad.com/vector3de/vector3de.html?f=FiniteChargedLinePair&d=equip&sl=y&p=1&a1=30&a2=21&rx=73&ry=25&rz=-26&zm=1.2
Du kan från länken lätt välja att visa fältlinjer eller fältvektorer istället.
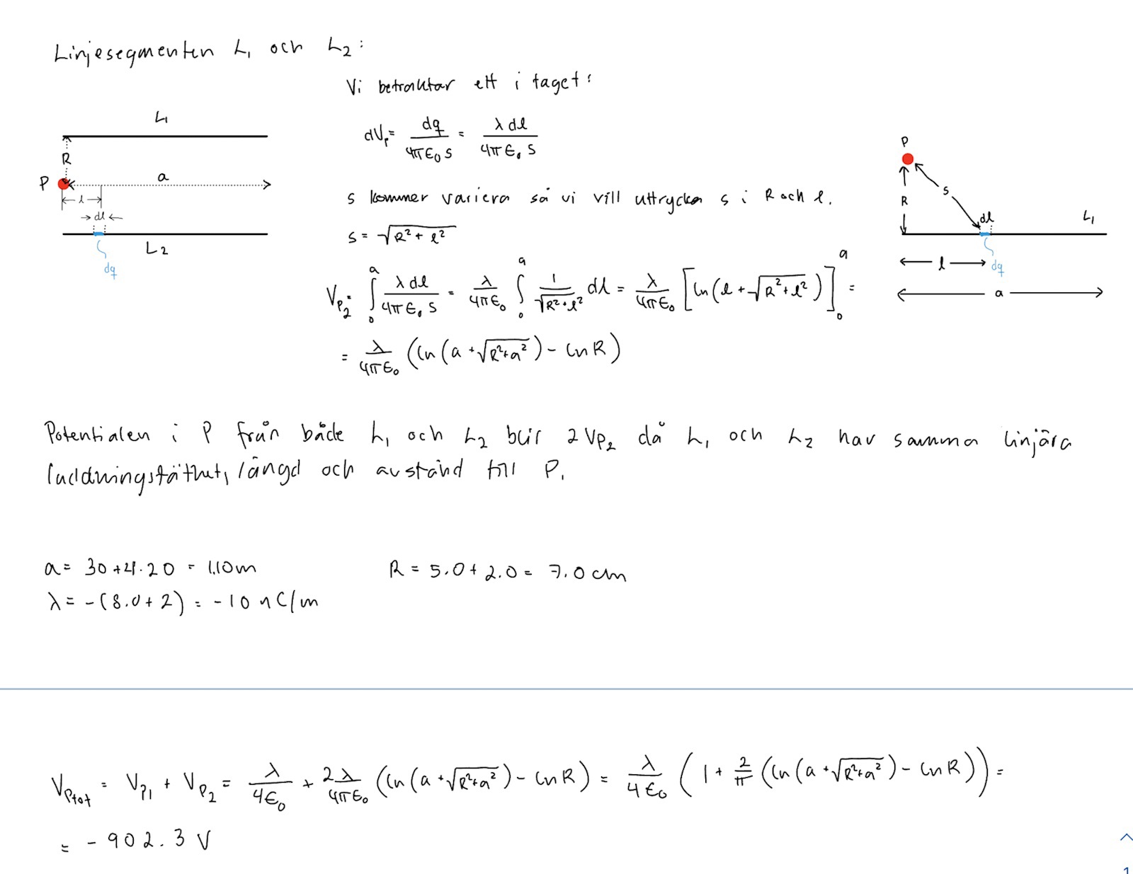
Här är min lösning. Håller mina antaganden? Är min lösning okej i övrigt? Måste jag motivera och förklara mer tycker ni?


Ska stå VPtot= VP1+2VP2