potentialfält
Hej
jag sitter med en uppgift som jag behöver lite hjälp med:
Visa att kraftfältet är konservativt i
och bestäm en potentialfunktion U(x,y) med U(0,0)=0
I kursboken står det att om man lyckas finna en potentialfunktion så har vi visat att kraftfältet är konservativt.Som jag förstår det kan man bestämma ifall ett kraftfält är konservativt genom att hitta en funktion U som uppfyller att
men sedan kommer jag inte mycket längre, hur ska man gå vidare härifrån för att lösa uppgiften?
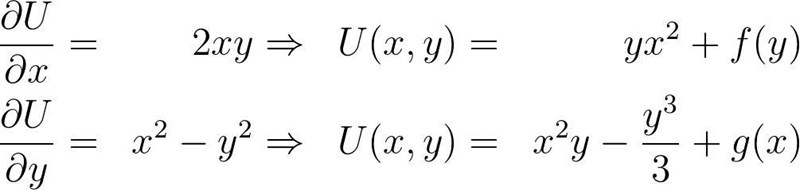
Det är bara att integrera komponentvis
Gör samma för y-komponenten (fast med en eventuell funktion som beror av x).
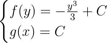
De två uttrycken för U ska gälla samtidigt vilket låter dig identifiera de okända funktionerna sånär som på en konstant C. U(0,0)=0 ger dig slutligen C.
Som extra bonus kan nämnas att det vanligaste sättet att visa att ett fält F är konservativt är att visa att eller .
så får vi då
så vi har då de två funktionerna
men jag förstår inte riktigt hur vi menar med U(0,0)=0, ska vi alltså sätta x=0 och y=0 men då ser vi ju att båda funktionerna blir noll då vi inte har någon annan konstant.
När vi tar den partiella derivatan med avseende på x försvinner alla konstanter och funktioner som bara beror på y.
Alltså måste vi lägga till en hel funktion f(y) som integrationskonstant istället för bara en konstant C. Det samma gäller för den partiella derivatan med avseende på x.
.jpg?width=800&upscale=false)
Nu ska dessa uttryck gälla samtidigt!
Vars enda lösning är
.jpg?width=800&upscale=false)
Och alltså är
.
Slutligen ger villkoret U(0,0)=0 C=0.
I just den här uppgiften behövde vi inte bekymra oss särskilt mycket om f(y) och g(x) men förhoppningsvis stöter du i framtiden på svårare uppgifter där det spelar roll.
om man vill lösa uppgiften genom det som du angav som det vanliga sätten eller
För kan vi ju sätta F= men hur får vi gradientoperatorn? ska vi bara ta eftersom vi har att U(0,0)=0 ? i så fall får vi väl
om man ska lösa uppgiften genom ska vi då först derivera hela fältet med avseende på y och då få och sedan derivera med avseende på x och då 2y så att och sedan göra samma sak med ? jag för även 2x där och i så fall 2x-2x=0
Jag tror du har missförstått, vi löser inte uppgiften så.
Att (virvelfritt) innebär att fältet är konservativt. Min kommentar handlar om hur vi visar att det existerar en potential, dvs hur vi visar att fältet är konservativt.
Vi börjar i regel inte med att hoppas att det finns en potential och sedan dra slutsatsen att fältet är konservativt om vi lyckas hitta en (även om det är teoretiskt möjligt).
Om är kontinuerligt deriverbar så är virvelfritt i om och endast om i
Ett virvelfritt fält i ett enkelt sammanhängande område kan ALLTID framställas som minus gradienten av ett skalärt fält U, .
U kallas då fältets potential
Då ett vektorfältet är virvelfritt i är tangentlinjeintegralen av fältet från en punkt P i till en annan punkt Q i oberoende av integrationsväg mellan P och Q.
Detta kan vara ett kraftfullt verktyg vid beräkning av komplicerade tangentlinjeintegraler, då vi kan nöja oss med att beräkna skillnaden i potential mellan start- och och slutpunkt.
så om jag har förstått rätt så går frågan ut på att vi först ska visa att kraftfältet är konservativt och detta gör vi genom att visa att dvs virvelfritt.
Sedan så ska vi bestämma en potentialfunktion U(x,y) med U(0,0)=0 och detta görs genom att integrera komponentvis och vi får där vi sedan kan konstatera att C ska vara noll så det blir bara
Det jag fortfarande har problem med är att visa att , vi har ju att F= men vad blir ? om vi använder att ett virvelfritt fält kan framställas som så ska väl ska vi då använda att vi har räknat fram och sedan multiplicera det med
JnGn skrev :så om jag har förstått rätt så går frågan ut på att vi först ska visa att kraftfältet är konservativt och detta gör vi genom att visa att dvs virvelfritt.
Ja, det stämmer. Om vi ska vara petiga måste vi också införa krav t.ex. F är virvelfritt i ett enkelt sammanhängande område . Så länge F och området är snälla (som i detta fall) är det inga problem.
Sedan så ska vi bestämma en potentialfunktion U(x,y) med U(0,0)=0 och detta görs genom att integrera komponentvis och vi får där vi sedan kan konstatera att C ska vara noll så det blir bara
Japp, det stämmer.
Det jag fortfarande har problem med är att visa att ,
Det ser ju hemskt krångligt ut, men i det tvådimensionella fallet är och alla derivator med avseende på z är noll. Kvar blir villkoret
Som jag föreslår att du lär dig utantill.
För just ditt kraftfält visar det sig att
Alltså existerar det en potential. Ett annat sätt att uttrycka det är att säga att differentialformen är exakt.
då vi är i blir z= 0 och därför får vi väl att är samma som vilket då blir noll, men varför får vi sedan ett minustecken framför den partiella derivatan av y i ?
Vi är inte kvar i eftersom kryssprodukten inte existerar där. För att göra det lätt för oss utökar vi fältet från i till i .
Enhetsvektorn är alltid även då z=0 och då de partiella derivatorna med avseende på z är noll.
gäller generellt som ett nödvändigt och under rätt förutsättningar tillräckligt villkor för existensen av en potential.
I två dimensioner förenklas villkoret för existensen av en potential eftersom z och de partiella derivatorna med avseende på z är noll. Om vektorfältet uppfyller
i en enkelt sammanhängande (öppen) delmängd av xy-planet så existerar en potential till
Om ni av någon anledning endast begränsar er till två dimensioner och kan du istället för att använda kryssprodukten härleda villkoret över likheten mellan blandade partiella derivator.
okej så istället blir det alltså att x=0 och y=0 inom parentesen efter så vi får ?
JnGn skrev :okej så istället blir det alltså att x=0 och y=0 inom parentesen efter så vi får ?
Jag är inte med på hur du menar med x=0 och y=0. Innan vi börjar leta efter en potential vill vi visa att fältet är konservativt.
Ett nödvändigt och tillräckligt villkor för att ett deriverbart fält ska vara konservativt i ett enkelt sammanhängande område är att
För det fält du studerar får vi
Alltså har vi visat att fältet är konservativt.
okej då är jag med på hur vi får men jag är fortfarande inte helt med på varför vi endast får kvar för om i det tvådimensionella fallet gäller att och alla derivator med avseende på z är noll, vad händer då med övriga termer i tex vad händer med ?
Sedan förstår jag inte riktigt övergången mellan det tvådimensionella och tredimensionella fallet. Vi kunde sätta eftersom vi var i det tvådimensionella fallet och få alla derivator med avseende på z till noll, men när går vi sedan över till det tredimensionella fallet för att kunna utnyttja kryssprodukten?
JnGn skrev :alla derivator med avseende på z är noll, vad händer då med övriga termer i tex vad händer med ?
Ditt fält är .
Eftersom varken eller innehåller något z blir deras derivator 0. Alltså
Ditt fält innehåller inga z någonstans. Alla partiella derivator med avseende på z, dvs , måste därför vara 0.
Sedan förstår jag inte riktigt övergången mellan det tvådimensionella och tredimensionella fallet.
Det enda vi gör är att ersätta fältet med fältet . Källor och virvlar intar en central roll i vektoranalysen. Den här uppgiften kräver inte att vi utökar fältet, men det kan ändå vara bekvämt att göra det.
- Det är lättare att komma ihåg som villkor för ett virvelfritt fält. Det bygger också på en djupare förståelse.
- Det är lättare att komma ihåg som ett villkor för ett källfritt fält. Det bygger också på en djupare förståelse.
- Fält i 3 dimensioner är allmängiltiga, fält i två dimensioner är i bästa fall en krystad överförenkling. Potentialer bygger bland annat på singulära käll- och virvelfördelningar, rymdkällor, ytkällor, ytdipoler, linjekällor och punktkällor, begrepp som inte kommer till sin rätt i två dimensioner.
Om du inte är bekväm med att utöka fältet till 3 dimensioner kan du istället åberopa kravet att differentialformen ska vara exakt vilket leder till samma villkor och samma slutsats.
jag är med på att blir noll eftersom fältet inte innehåller något z, men då vi har menar vi alltså eftersom vi är i där vi lade till z=0 i
JnGn skrev:jag är med på att blir noll eftersom fältet inte innehåller något z, men då vi har menar vi alltså eftersom vi är i där vi lade till z=0 i
Ja, det stämmer. .
Kvar av hela harangen blir bara
Det står inom parentesen är noll om
Detta är ett nödvändigt och tillräckligt villkor på F för att F ska vara ett konservativt fält i ett öppet enkelt sammanhängande område i . Kan du visa att de båda partiella derivatorna är lika har du visat att fältet är konservativt.