8
svar
97
visningar
Potentialfält
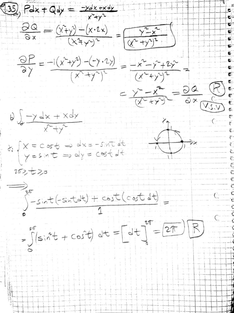
Hur gör man i c)? Förstår inte ens frågan riktigt.


Se t.ex här.
Dr. G skrev:Se t.ex här.
Så alltså:
?
Tillägg: 13 sep 2021 20:26
Redigerade och bytte plats på x och y.
Men i så fall är det det från uppgift a) 🤔
Du verkar derivera på fel variabler (tryckfel?), men annars så ja.
Dr. G skrev:Du verkar derivera på fel variabler (tryckfel?), men annars så ja.
Jag har redigerat som ovan ^^.
Svaret är alltså "ja", enligt a) uppgiften?
Ja, svaret är "ja"
Dr. G skrev:Ja, svaret är "ja"
Facit säger "nej" 😳

En exakt form skall vara differentialen av ett skalärfält . .
Ok, där ser man.