2
svar
79
visningar
Oliber behöver inte mer hjälp
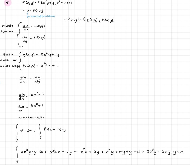
potentialfunktion till vektorfält


jag får inte detta att bli rätt, och fattar inte varför. Borde bli x^3y+xy+y+c
får samma problem här, borde bli xyz+c
löste det