potentialfunktion, xyz
hur får jag potential funktionen

Normalt sett integrerar du varje ekvation var för sig, men istället för en godtycklig integrationskonstant lägger du till en godtycklig funktion av de övriga variablerna. Din första ekvation ger då
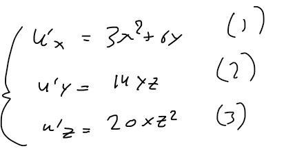
Osv. Problemet med din nuvarande uppställning är att det inte finns någon funktion som uppfyller dina ekvationer.
Jroth skrev:Normalt sett integrerar du varje ekvation var för sig, men istället för en godtycklig integrationskonstant lägger du till en godtycklig funktion av de övriga variablerna. Din första ekvation ger då
Osv. Problemet med din nuvarande uppställning är att det inte finns någon funktion som uppfyller dina ekvationer.
det va så jag räknade med kunde ej hitta någon funktion. Jag är nästan helt säker att det är den metoden man ska använda för att i uppgiften så säger de att en linje går från (0,0,0) till (1,0,0) till (1,1,0) till (1,1,1) och "enklaste" metoden är denna.
Kurvintegralen är
Fältet du anger är inte ett potentialfält, .
Däremot är det enkelt att integrera längs de räta linjetyckena.
Jroth skrev:Fältet du anger är inte ett potentialfält, .
Däremot är det enkelt att integrera längs de räta linjetyckena.
jaha vad ska man göra då? ska man paramitisera den?
Kan du lägga upp en bild av ursprungsuppgiften? Det är svårt att hjälpa dig när vi inte vet det.
Ja, om vi tar det första linjestycket är en enkel parameterframställning
, där ska löpa från till
Kan du ställa upp den linjeintegralen?