1
svar
120
visningar
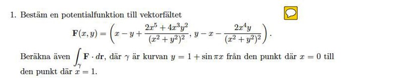
Potentialfunktioner

läser då


men då är ju inte min C1???? eftersom:
P'y inte är lika med Q'x???
https://www.wolframalpha.com/input/?i=derivate+y-X%2B(2x%5E4y)%2F((x%5E2%2By%5E2)%5E2) är inte lika med https://www.wolframalpha.com/input/?i=derivate+x-y%2B(2x%5E5%2B4x%5E3y%5E2)%2F((x%5E2%2By%5E2)%5E2)
vad är det jag missar?
bump?