1
svar
116
visningar
Potentialskillnad mellan yttre ledare


Behöver lite hjälp med T-3.31. I tidigare uppgifter har vi haft jord att utgå från och beräkna potential från. Hur gör man här när detta inte finns? Vi ska beräkna arbetet som krävs för att förflytta en laddning från den ena sidan till den andra? Vet inte riktigt hur jag kommer igång.
Tror vi kanske ska ha T-3.30 till hjälp och jag beräknade kraften på q1 till , detta kan vara fel, facit säger
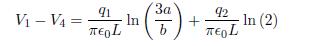
Vi vet att det elektriska fältet kan uttryckas . Vi kan då uttrycka potentialen . Varje laddning bidrar med en potential. Jag får en potentiallskillnad som är nära facits
Jag ser inte hur jag kan få ln(2) för q2?
