Potentialskillnaden mellan punkt A och B

hej!
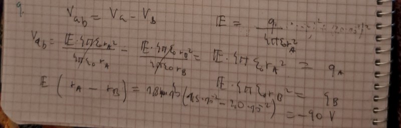
Rätt svar är 270 V men jag förstår inte varför. Jag ser att AB är en diagonal i figuren men jag vet inte hur man ska räkna ut mha potentialskillnad formeln.
Det är potentialskillnad enbart i fältets riktning
så med 1,8*104 V/m och ett avstånd (i fältets riktning ) PÅ 0,015 m har vi potentialskillnaden
1,8*0,015*104 = 270 V
Ture skrev:Det är potentialskillnad enbart i fältets riktning
så med 1,8*104 V/m och ett avstånd (i fältets riktning ) PÅ 0,015 m har vi potentialskillnaden
1,8*0,015*104 = 270 V
Jag förstår inte riktigt. Vi söker potentialskillnad mellan A och B. I bilden är fältet på väg mot den negativa plattan i y-led och inte i sidled som i fallet med punkten B.
Jo det förstår jag.
Titta på bilden nedan, när vi går från punkten A till C får vi en potentialskillnad eftersom vi rör oss parallellt med det elektriska fältets fältlinjer.
När vi går från C till B får vi ingen potentialskillnad eftersom vi rör oss vinkelrätt mot fältlinjerna.
Det är som att röra sig i vatten, när vi kommer djupare ned ökar trycket, när vi rör oss i sidled är trycket konstant.

Ture skrev:Det är som att röra sig i vatten, när vi kommer djupare ned ökar trycket, när vi rör oss i sidled är trycket konstant.
Enklare (men relaterat): det är som att röra sig i jordens gravitationsfält där det är lodrätt. Potentiell energi beror på höjden, är konstant på horisontella ytor (golvet, bordet, sjön, isen, osv).
Plattorna är ekvipotential-ytor.
Ture skrev:Jo det förstår jag.
Titta på bilden nedan, när vi går från punkten A till C får vi en potentialskillnad eftersom vi rör oss parallellt med det elektriska fältets fältlinjer.
När vi går från C till B får vi ingen potentialskillnad eftersom vi rör oss vinkelrätt mot fältlinjerna.
Det är som att röra sig i vatten, när vi kommer djupare ned ökar trycket, när vi rör oss i sidled är trycket konstant.
Ah okej då är jag med. Tack!

