6 svar
251 visningar
Korra behöver inte mer hjälp
Korra 3891
Postad: 30 sep 2018 13:16 Redigerad: 30 sep 2018 13:20

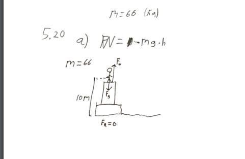
Potentiel energi, uppgift.,

Christian står på en svikt i ett hopptorn så att hans tyngdpunkt  är 10 möver vattenytan. Välj vattenytan som nollnivå. 
 Cm=66(kg)C_m=66 (kg)

a) hur stor potentiell energi har Christian på svikten? 

Jag kan gissa mig fram till att jag bara behöver stoppa in värden i formel W=F*h->W=mghW=F*h -> W=mgh

Men hur ska man tänka? Ska jag kanske rita en figur och börja föreställa mig hur det går till ? (Jag gör det så kan ni kanske dra lite pilar eller rätta feltankar) 

Hur ska man föreställa sig det som händer? Eller hur man liksom får fram WpW_p ? :)


Tack så mycket om du väljer att hjälpa mig. 

Teraeagle 20364 – F.d. Moderator
Postad: 30 sep 2018 13:18 Redigerad: 30 sep 2018 13:19

Det är alltid klokt att rita en figur, så det är en bra start. Du har också hittat rätt formel, dvs W=mgh, fast gjort någon konstig omskrivning som jag inte förstår. Du känner till alla tre faktorer och kan därför beräkna hans (gravitationella) potentiella energi.

Korra 3891
Postad: 30 sep 2018 13:21
Teraeagle skrev:

Det är alltid klokt att rita en figur, så det är en bra start. Du har också hittat rätt formel, dvs W=mgh, fast gjort någon konstig omskrivning som jag inte förstår. Du känner till alla tre faktorer och kan därför beräkna hans (gravitationella) potentiella energi.

 Skrev fel, det ska stå arbete = mgh inte kraft= mgh 

Vad menar du med gravitationella potentiella energi? Ska jag tolka det som den energi som han motverkar gravitationen med för att kunna stå upp stående? Jag förstår inte hur höjden har någonting med det att göra? Tänk om han stod på marken istället, då skulle det enligt formeln inte gå åt lika mycket energi för att kunna stå upp ? Förstår du hur jag menar? 

Teraeagle 20364 – F.d. Moderator
Postad: 30 sep 2018 13:27 Redigerad: 30 sep 2018 13:28

Det krävs ingen energi alls för att personen ska stå upprätt, däremot krävs det krafter som motverkar (i det här fallet) tyngdkraften. Dessa krafter utgörs av normalkraften från svikten han står på samt olika muskler i kroppen som gör att man inte bara faller ihop som ett benrangel.

Man kan inte beräkna ett absolut värde på den potentiella energin, utan bara hur mycket potentiell energi man har i relation till någon annan position. Han har mer potentiell energi uppe på svikten jämfört med i bassängen eftersom den ligger 10 meter uppåt. Om du tänker att han från början var i bassängen och sedan lyftes upp 10 meter, så skulle hans potentiella energi ha ökat med mgh där h är 10 meter. Det är därför man kallar vattenytan för nollnivå, dvs man beräknar all potentiell energi utifrån den nivån.

Korra 3891
Postad: 30 sep 2018 13:31
Teraeagle skrev:

Det krävs ingen energi alls för att personen ska stå upprätt, däremot krävs det krafter som motverkar (i det här fallet) tyngdkraften. Dessa krafter utgörs av normalkraften från svikten han står på samt olika muskler i kroppen som gör att man inte bara faller ihop som ett benrangel.

Man kan inte beräkna ett absolut värde på den potentiella energin, utan bara hur mycket potentiell energi man har i relation till någon annan position. Han har mer potentiell energi uppe på svikten jämfört med i bassängen eftersom den ligger 10 meter uppåt. Om du tänker att han från början var i bassängen och sedan lyftes upp 10 meter, så skulle hans potentiella energi ha ökat med mgh där h är 10 meter. Det är därför man kallar vattenytan för nollnivå, dvs man beräknar all potentiell energi utifrån den nivån.

 jahaa, jaa hehe. Vilka bra funderingar jag får :) 

Nollnivå, check! Nu vet jag det också.

Tack så mycket min vän.

Korra 3891
Postad: 30 sep 2018 13:38
Teraeagle skrev:

Det krävs ingen energi alls för att personen ska stå upprätt, däremot krävs det krafter som motverkar (i det här fallet) tyngdkraften. Dessa krafter utgörs av normalkraften från svikten han står på samt olika muskler i kroppen som gör att man inte bara faller ihop som ett benrangel.

Man kan inte beräkna ett absolut värde på den potentiella energin, utan bara hur mycket potentiell energi man har i relation till någon annan position. Han har mer potentiell energi uppe på svikten jämfört med i bassängen eftersom den ligger 10 meter uppåt. Om du tänker att han från början var i bassängen och sedan lyftes upp 10 meter, så skulle hans potentiella energi ha ökat med mgh där h är 10 meter. Det är därför man kallar vattenytan för nollnivå, dvs man beräknar all potentiell energi utifrån den nivån.

 En fundering till förresten, ska man anta att det man räknar ut då han står där uppe är den energin som krävs för att han ska liksom lyftas upp dit med bassängen som starthöjd? Alltså det man räknar ut är energiåtgången för att han ska förflyttas med kraften mg, höjden 10m ? Likt när man har horisontella rörelser fast man då istället tänker på höjden som sträckan, en höjd är ju också en sträcka men jaa. Så alltså ? 

Teraeagle 20364 – F.d. Moderator
Postad: 30 sep 2018 13:49

Ja, så är det.

Svara
Close