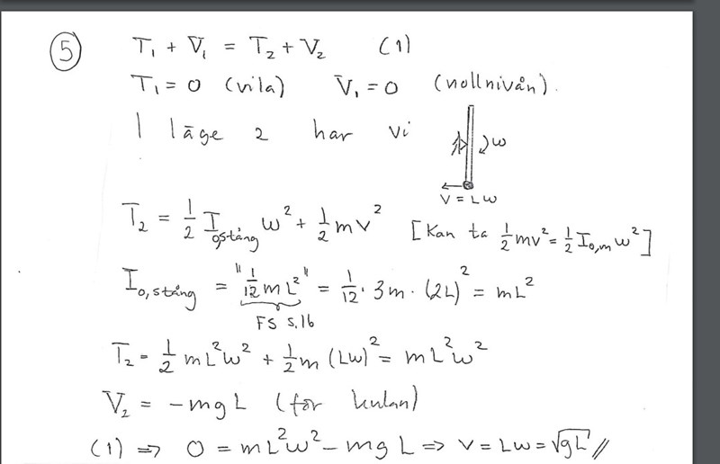
Potentiell energi
Hej! Jag undrar varför V2 gäller bara för kulan. Med andra ord, skulle inte V2 vara för båda stången och kulan? precis som de gjorde med T2, då gällde stången och kulan.
V2= -mgL+( -3mgL) = -mgl- 3mgl = -4mgl. ( så har jag skrivit , men det ger fel svar)


Stången tyngdpunkt ligger i rotationscentrum. Dess tyngdpunkt flyttar sig därmed inte när stången roterar.
Enbart partikeln förlorar lägesenergi
Ture skrev:Stången tyngdpunkt ligger i rotationscentrum. Dess tyngdpunkt flyttar sig därmed inte när stången roterar.
Enbart partikeln förlorar lägesenergi
Tack så mycket för svaret!
om rotationscentrum hade varit högre upp ( i början av stången), skulle man då kunna säga att
V2= mg *-2L ( för kulan) och 2mg -L (för stången) ?
Om rot centrum är vid stångänden kommer stångens tyngdpunkt att sjunka halva stångländen. Dvs L. 4
För att enkelt se detta, rita en bild av de två lägena.
Tillägg: 19 aug 2024 14:56
Det råkade komma med en 4a som inte hör hit.
Ture skrev:Om rot centrum är vid stångänden kommer stångens tyngdpunkt att sjunka halva stångländen. Dvs L. 4
För att enkelt se detta, rita en bild av de två lägena.
Tack så mycket.