Potentiell energi mellan joner

Tror att jag ska använda denna lag,
men jag är osäker på hur den ska tillämpas.
Tack på förhand!
- Q1 och Q2 är jonernas laddning uttryckt i C. Hur kan du omvandla en jons laddning 2+ eller - till den enheten?
- Vad är vacuums relaativa permittivitet?
- Vad är avståndet r uttryckt i m?
mrpotatohead skrev:
- Q1 och Q2 är jonernas laddning uttryckt i C. Hur kan du omvandla en jons laddning 2+ eller - till den enheten?
- Vad är vacuums relaativa permittivitet?
- Vad är avståndet r uttryckt i m?
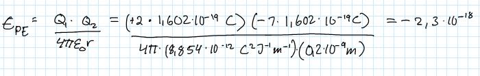
Jag gjorde såhär 
är det rätt tänkt?
Vilka enheter får man på svaret?
I facit står det att svaret ska vara:
men det känns inte rätt. Jonerna borde väl attrahera varandra och då blir svaret negativt?
Aria575 skrev:mrpotatohead skrev:
- Q1 och Q2 är jonernas laddning uttryckt i C. Hur kan du omvandla en jons laddning 2+ eller - till den enheten?
- Vad är vacuums relaativa permittivitet?
- Vad är avståndet r uttryckt i m?
Jag gjorde såhär
är det rätt tänkt?
Det är rätt tänkt.
Vilka enheter får man på svaret?
Det beror på vad du vill/ska svara i. Det som du kommit fram till där är potentiella energin i Joule mellan två enskilda joner. För att få det per mol behöver du multiplicera med Avogadros konstant (6,022*1023, hur många partiklar det finns i ett mol partiklar).
I facit står det att svaret ska vara:
men det känns inte rätt. Jonerna borde väl attrahera varandra och då blir svaret negativt?
Deras laddning attraherar men energin är positiv.
