Potentiell energi och energiprincipen
Jag fattar inte den sista ekvationen. I hakparanteserna kan man se att de använde energiprincipen men de lägger till en massa nollor och den kinetiska energin. Detta kapitlet är potentiella energier btw. Man kan ju se att det finns 5 "placeholders". Idk hajar inte riktigt.

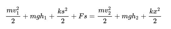
I A är kinetisk energi och lägesenergi noll. I A finns därför endast elastisk energi.
Elastisk energi i A + kraftens arbete = lägesenergi i C + elastisk energi i C + kinetisk energi i C.
PATENTERAMERA skrev:I A är kinetisk energi och lägesenergi noll. I A finns därför endast elastisk energi.
Elastisk energi i A + kraftens arbete = lägesenergi i C + elastisk energi i C + kinetisk energi i C.
Hmm... känns fortfarande lite konstigt men vi kör på det. Hittade denna på Wikipedia som förklarade det bättre vilka krafter som faktiskt är med i denna lag (och jag antar vad bokstäverna egentligen står för).
