5
svar
117
visningar
La mantra behöver inte mer hjälp
Power facor
Hej!
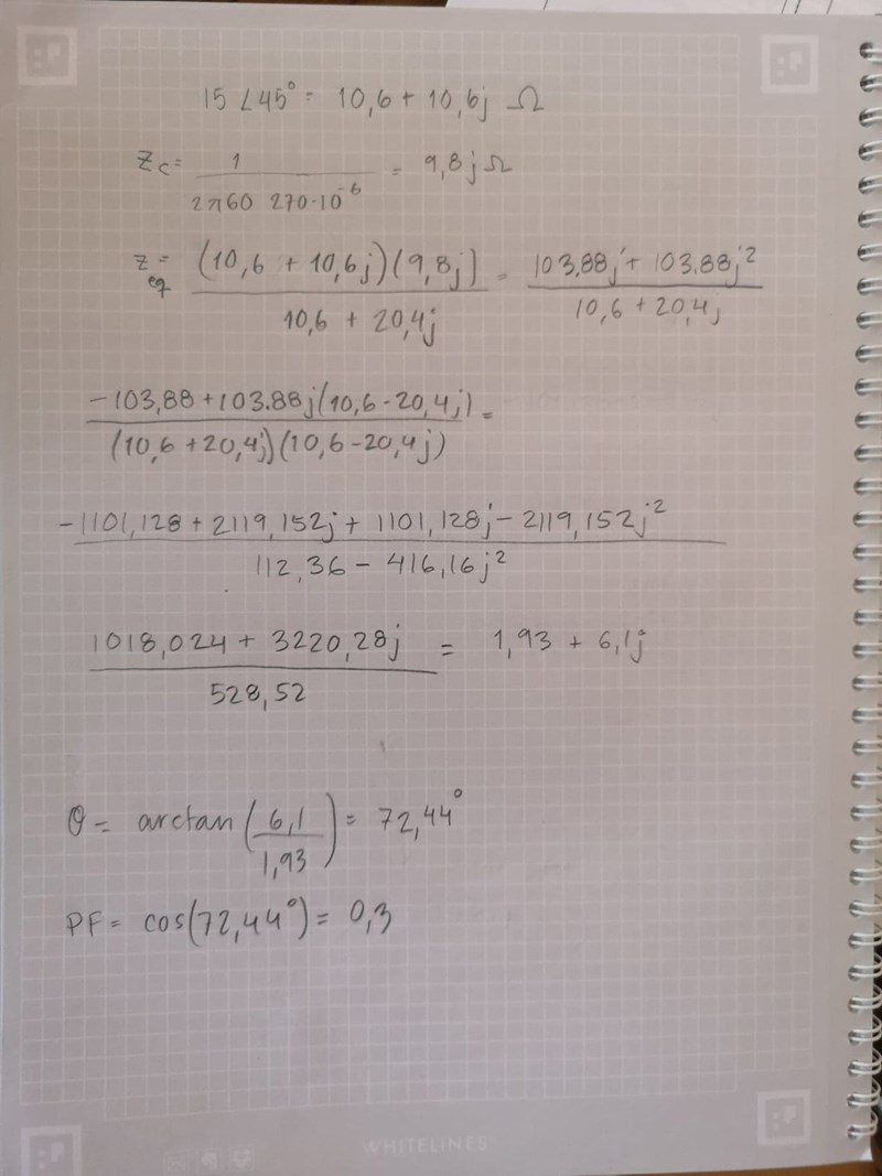
Jag har fastat på ett problem där PF (power factor) ska anges.
Börjar med att beräknas Zeq där det finns en kondensator och en vad jag antar är en resistor som är angiven i polär form. Antar att det är här någonstans det blir fel.
Bifogar uppgiften och mina beräkningar.


Jag skulle alltid rita fasorerna.
I det här fallet för strömmarna, som man då kan addera vektoriellt.
Förstår inte hur jag ska skriva om kondensatorn till polärform.
Nu kan du övergå till visare/polärform.
Annars kan du skriva komponenten som är skriven som en visare till ett komplext tal på rektangulär form.
Zc blir väl -9.8j
Ja, jag hade missat minus innan 9.8j
Har räknat om och nu blev det rätt.
Tack så mycket för hjälpen!