2
svar
222
visningar
RamanJ behöver inte mer hjälp
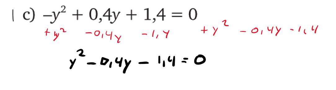
PQ-Formeln Men har en negativ x^2 term

Jag undrade vad jag ska göra för att kunna använda pq-formeln för uppgift c)
Går det att skriva om den sådära? eller finns det ingen lösning?
Ja, så kan du göra.
Det är ett utmärkt sätt att skriva om ekvationen så att du kan använda pq-formeln.
Yngve skrev:Ja, så kan du göra.
Det är ett utmärkt sätt att skriva om ekvationen så att du kan använda pq-formeln.
Tack för hjälpen :3