1
svar
180
visningar
milajovovich behöver inte mer hjälp
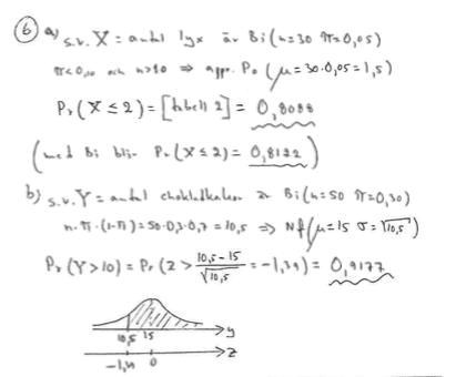
Praktisk statistik en tenta uppgift


Hej!!!
Jag har en fråga:
Varför i b) har de skrivit istället för som man fick i a) ???
Tack på förhand!
Jag förstår nu hur de hade tänkt..