Primitiv form
Hej, jag lyckas inte få samma primitiv funkrion som de, vad gör jag för fel?


Felet du gör är att du sätter att vara en primitiv funktion till , vilket det inte är.
Det enklaste vore väl att derivera den primitiva funktionen och se om resultatet blir lika med det förväntade.
Ja visst men om vi förutsätter att jag inte hade vetat den primitiva funktionen, hur skulle jag då kunna ta reda på den?
Vad ska jag annars dela med om inte 2x?
I den här uppgiften får du veta den primitiva funktionen. Använd dig av det!
Mattehjalp skrev:Ja visst men om vi förutsätter att jag inte hade vetat den primitiva funktionen, hur skulle jag då kunna ta reda på den?
Vad ska jag annars dela med om inte 2x?
Det finns inget enkelt sätt stt ta reda på en primitiv funktion till .
Du kommer inte att hamna i den situationen att du behöver göra det.
jag tror att vår lärare förväntar sig att vi ska kunna göra det, för vi har lärt oss variabelsubstition men jag får inte heller till det med variabelsubstion
Variabelsubstotution räcker inte.
Jag kan lova dig att din lärare inte förväntar sig att ni ska kunna ta fram en primitiv funktion till .
Och det är inte heller det uppgiften vare sig handlar om eller kräver.
Mattehjalp skrev:jag tror att vår lärare förväntar sig att vi ska kunna göra det, för vi har lärt oss variabelsubstition men jag får inte heller till det med variabelsubstion
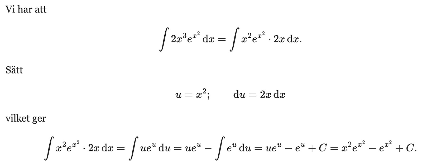
Det är enklare att derivera den prim.fkn. men integration går också;

https://mathb.in/78481