2
svar
60
visningar
offan123 behöver inte mer hjälp
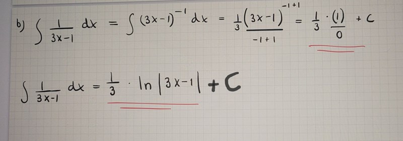
Primitiv funk. Ln eller potens?

Jag har ganska svårt att veta när ln kommer in i bilden. Tidigare har jag kunnat skriva om en kvot som en potens, men som ni ser så är inte den övre primitiva funktionen definierbar.
Hur vet man när det ska vara ln och inte?
Du har nästan själv bevisat det!
Som du ser när något stor i nämnaren av en kvot (och går att skriva om som upphöjt till -1 blir inte den definerbar)
Därför är det viktigt att lägga märke till att den här regeln: 
Den gäller inte då n=-1!!!!!
Då måste du istället förlita dig på ln för att få den primitiva funktionen!
För att här:
gäller då och x kan även vara en funktion som är upphöjd till -1 som i den här uppgiften.
Tack, fattar :)