5
svar
242
visningar
offan123 behöver inte mer hjälp
Primitiv funk. på kvot

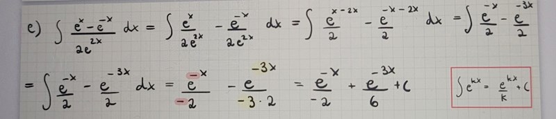
Hur gör man när det är en kvot? Jag tänkte att man kunde förenkla uttrycket men i slutändan blev det ingen jättestor skillnad. Finns det någon kvotregel för primitiv funktion?
Så här kanske?
Jag skulle dela upp i två termer ex /(2e2x) och e–x / (2e2x).
Då kan du dividera ex med e2x osv
Du menar så här?
Jag har bara tittat snabbt men tycker det ser glimmrene ut.
Möjligen kunde du ha uttrycket mellan integraltecknet och dx inom parentes i led 2, 3, 4 och 5.
I 4 saknas dessutom dx. Annars toppen.