primitiv funktion
Hej!
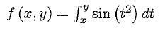
Hur hittar jag den primitiva funktionen till ?
Har försökt länge nu, men jag kommer inte fram till något...
Hjälp uppskattas!
Mvh KriAno
https://www.pluggakuten.se/trad/primitiv-funktion-av-sin-2-x/ Detta diskuteras här
Ledtråd:
Du kan använda bland annat dubbelvinkelformeln för cosinus.
baboskhaa skrev:https://www.pluggakuten.se/trad/primitiv-funktion-av-sin-2-x/ Detta diskuteras här
och är inte samma sak. TS satte exponenten inne i parentesen, och om det var meningen är man och nosar på Fresnelintegraler, där finns ingen primitiv funktion.
Skaft skrev:baboskhaa skrev:https://www.pluggakuten.se/trad/primitiv-funktion-av-sin-2-x/ Detta diskuteras här
och är inte samma sak. TS satte exponenten inne i parentesen, och om det var meningen är man och nosar på Fresnelintegraler, där finns ingen primitiv funktion.
Ok, det Fresnelintegraler än inget som vi har gått igenom.
Uppgiften handlar om partiella derivator:

Jag bara antog att jag behövde hitta den primitiva funktionen till för att lösa uppgiften, men antagligen inte...
Hur ska jag gå tillväga?
Är uppgiften att bestämma de partiella derivatorna till ?
Skaft skrev:Är uppgiften att bestämma de partiella derivatorna till ?
Japp