9 svar
90 visningar
PluggarN1337 behöver inte mer hjälp
PluggarN1337 9 – Fd. Medlem
Postad: 23 nov 2022 21:22

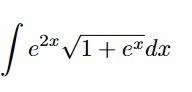
Primitiv funktion

Jag har lite problem med hur jag ska gå tillväga med denna uppgiften. Jag har börjat med att göra en variabelsubstitution som bör vara korrekt gjord, men efter detta är jag tveksam på hur jag fortsätter. Kanske att man gör en till variabelsubstitution för det jag nu har men hur det ska gå till är jag osäker på. Någon som har en idé? Jag bifogar uppgift samt vad jag har skrivit:

Fermatrix 7621 – Fd. Medlem
Postad: 23 nov 2022 21:25

det blir nog trevligare om du låter u=ex+1u=e^x+1

PluggarN1337 9 – Fd. Medlem
Postad: 23 nov 2022 21:51

Okej tack för tipset. Får vi då istället (u-1)2*u du

Med tanke på att:

u = 1+ex <=> ex=u-1

du = ex dx

Fermatrix 7621 – Fd. Medlem
Postad: 23 nov 2022 21:53

Nej, det stämmer inte.

du=exdxdu = e^xdx, vart tog exe^x vägen?

PluggarN1337 9 – Fd. Medlem
Postad: 23 nov 2022 22:20

Ja det är sant, den försvann ju. Men det enda jag kan tänka på då är att lägga till något efter u, och i och med att ex =u-1 så ser jag det som att vi får lägga till denna efter u, så det då blir istället (u-1)2*u*(u-1) du

Men detta känns helt fel... Har sett på mathematica att ett av stegen innan man börjar integrera är att det ska bli:

(u3/2-u)du, men dit kommer inte jag med det jag har just nu så jag måste missa något när jag gör mina substitutioner

Fermatrix 7621 – Fd. Medlem
Postad: 23 nov 2022 22:28

Du är för hastig. 

Innan du gör om allting till med avseende på uu, eliminera först bort exe^x.

PluggarN1337 9 – Fd. Medlem
Postad: 23 nov 2022 22:38

Okej, då tänker jag att jag gör skriver mitt dx som dx = duex och kan då skriva e2xex+1duex och då försvinner ett ex. Sedan så sätter jag in mina u

Fermatrix 7621 – Fd. Medlem
Postad: 23 nov 2022 22:40

Precis, då får du ett trevligare uttryck.

PluggarN1337 9 – Fd. Medlem
Postad: 23 nov 2022 22:42

Yes äntligen något som är korrekt :D Tack så mycket för hjälpen! Nu borde jag kunna klura ut resten! Får återkomma annars :)

Fermatrix 7621 – Fd. Medlem
Postad: 23 nov 2022 22:43

Det är ingen fara. Lycka till och säg till om något krånglar sig. :)

Svara
Close