7
svar
76
visningar
offan123 behöver inte mer hjälp
Primitiv funktion
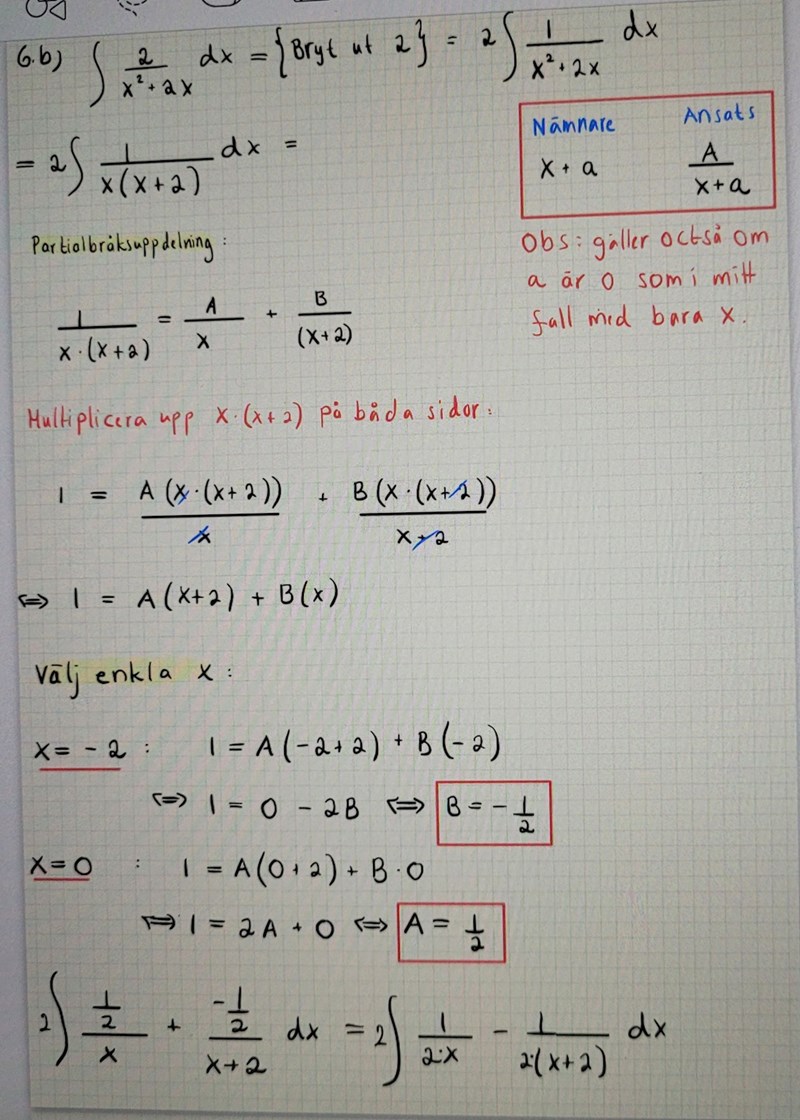
Hur kan jag komma vidare för att få ut den primitiva funktionen?
Kan du kvadratkomplettera och byta variabel i nämnaren?
Har du lärt dig partialbråksuppdelning? (det kanske inte ingår i ma4)
Det är mattespecialisering, finns liksom ingen sån kategori här
då kanske det är läge att försöka med partialbråksuppdelning
går att dela upp på två bråk, nämligen
Bestäm A och B så att summan blir 1/((x(x+2)) så kan du lösa integralen
Gäller det även trots att vi inte har ett polynom i täljaren?
Täljaren är ett polynom (ett s.k. monom med gradtal 0).

Detta borde då stämma?
Ser dock att jag bröt 2:an lite fel på första sidan, men det blir samma svar