Primitiv funktion
Jag har testat att derivera den primitiva funktionen och det ger den vanliga funktionen men ändå så stämmer detta inte riktigt. Var det dumt att förenkla i början eller skulle jag använt en annan metod?
Det ska väl vara Bx+D ovanför (x+2)^2?
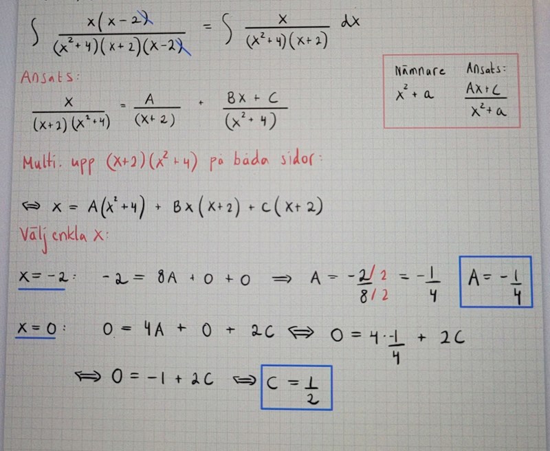
Enligt det här ska det bara vara A och B
Jag har inte kollat igenom allt, men din integral nr 2 på slutet
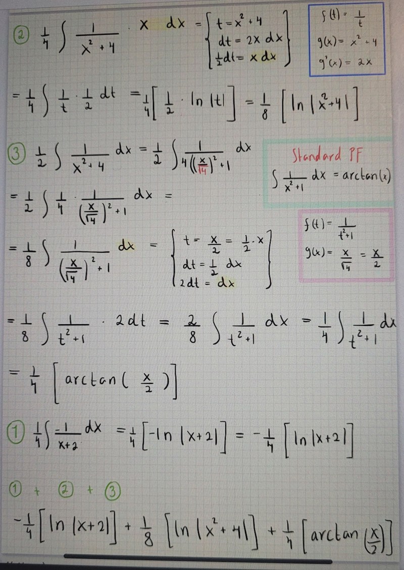
1/(x+2)2 har den primitiva funktionen -1/(x+2)
Aa, skrev fel där, men blir fel ändå. I svaret ska det ingå arctan. Jag kanske ska ha med ett variabelbyte?
om du ska ha arctan som primitiv måste din funktion vara av typen 1/(x2+1)
Hondel skrev:Det ska väl vara Bx+D ovanför (x+2)^2?
Fast om man utvecklar den då hamnar den ju på formeln ax^2 +bx + c och ska ha Ax +B men samtidigt är den A och B om man struntar i att utveckla parentesen enligt #3. Hur ska man tänka där?
Jag har testad i wolfram alpha,
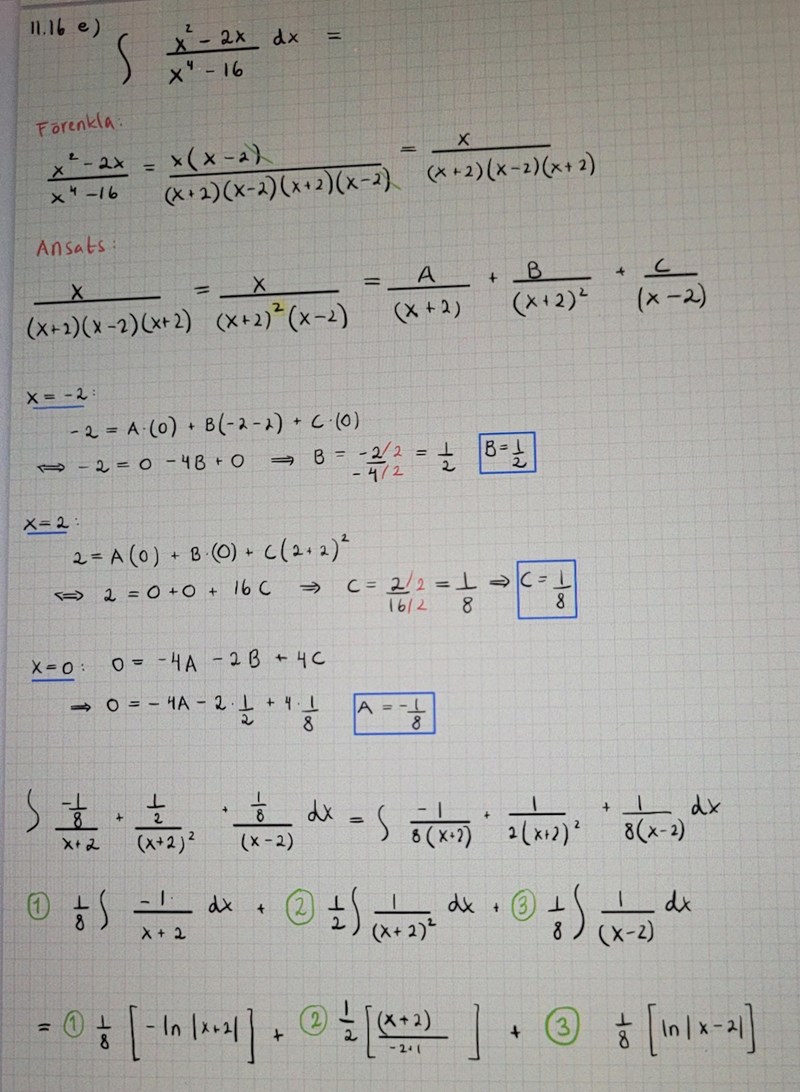
ursprungsfunktionens integral innehåller ett arctan, den förenklade funktionen (x-2 förkortat) har det inte.l
Din partialbråksuppdelningär rätt enligt wolframalpha.
Jag förstår inte varför det blir så..
Nu ser jag felet!
Din faktorisering av nämnaren är fel
x4-16 = (x2-4)(x2+4) = (x-2)(x+2)(x2+4)
Jag tänkte så här men det var tydligen fel. Varför får man inte göra såhär?
konjugatregeln säger att
(a+b)(a-b) = a2-b2 vilket gör att man också kan faktorisera a2-b2 genom att använda regeln baklänges.
x2+4 går inte att faktorisera eftersom x2+4 = 0 saknar reella lösningar
Din undre rad har ingen koppling till konjugatregeln


Detta måste då stämma? (Jag har valt att ta med klamrarna då jag har gränser jag ska stoppa in sen)
Svaret är rätt!!
offan123 skrev:
Enligt det här ska det bara vara A och B
Sorry, mitt fel