Primitiv funktion
Ska göra en primitiv funktion av följande:

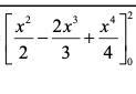
Intuitivt tänker jag formeln: x^a+1/a+1. Vilket ger mig (x(1-x)^3)/3. Facit säger dock nedanstående:

Jag förstår att de har expanderat f(x) till: x(x^2-2x+1), och gjort en primitiv funktion av denna.
Det jag inte förstår är hur man på förhand ska veta att regeln: x^a+1/a+1 inte går att tillämpa direkt på ursprungsekvationen?
Som vanligt bock och tack till er!!
Först och främst, kan du utveckla ?
Ja det kan jag och har gjort: x^3+x^2-x. Men jag undrar liksom hur jag ska se från första början att man ska utveckla, och inte ta primitiv funktion direkt? Kanske något som kommer med känsla allteftersom man repeterar dessa övningar...
Om du börjar med att utveckla uttrycket, så slipper du använda något så invecklat som produktreglen. Det går att göra på det sättet, men det är betydligt bökigare - den metoden använder man bara om det inte går att komma undan på ett enklare sätt.
Man kan också lösa den på detta sätt, blir ganska korta beräkningar.

Tack för din hjälp! ;)
Varsågod! Är alltid bra att kunna lösa uppgifter på flera olika sätt. Eftersom den inre derivatan var konstant funkade det med denna alternativa metod.
Verkligen!!