1
svar
43
visningar
Ställa865 behöver inte mer hjälp
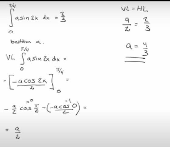
Primitiv funktion av ekvation
Varför blev det inte ax vid primitiva funktionen av asin2x? 

Du tänker nog på
a+sin[2x]
Då hade man fått ax+...
men multiplikativa konstanter (som i ditt fall med a*sin[2x] påverkas ej vid integrering.