4
svar
103
visningar
Primitiv funktion med tillämpning
Uppgift:
Min uträkning:
Jag tänkte att man kan göra om
Då blir g(x) = sin(2x) * sin(2x) * sin(2x) vilket man kan skriva som
g(x) =
Primitiva funktionen på detta blir väll då:
Men i facit så står det att G(x) = och jag förstår inte hur de kommer fram till det svaret
Tack för svar och vägledning på hur jag ska gå vidare
Sin(4x) är inte samma sak som 2*sin(2x).
Dracaena skrev:Sin(4x) är inte samma sak som 2*sin(2x).
"Jag tänkte att man kan göra om sin(4x) =sin(2x) *sin(2x)"
Alltså att Sin(4x) = sin(2x) * sin(2x) = ? eller blir detta fel?
Det är fel.
Prova exempelvis
då fås:
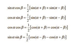
Formlerna nedan är rätt användbara:
