Primitiv funktion med vilkor och okänd konstant
Hej,
Jag har en uppgift som lyder;
Funktionen f(x)=a sin3x har en primitiv funktion som uppfyller villkoren
Bestäm
Hur kan jag tänka här? Jag vet ju inte a så det blir ju svårt att börja ta reda på den primitiva funktionen, eller?
Eftersom a är en konstant händer ingenting med den när den integreras! Vilka primitiva funktioner har derivatan f(x) = sin3x?
Jaha, tack!
F(x)=+C
Om jag nu sätter in de andra värdena jag har för att ta reda på C så får jag två olika värden, dels C=5 och dels C=9,7. Men det kan väl inte stämma?
Jodå, det kan visst stämma. Det finns något litet du har glömt: Jag frågade om den primitiva funktionen till sin3x eftersom det är lättare att integrera utan okända konstanter. Eftersom de inte förändras kan en lika gärna lägga till dessa efter integreringen (var tydlig i kommunikationen av detta, dock). Du har alltså glömt att sätta tillbaka a:et som vi undvek vid integreringen. :)
Ja juste, tack!
Men bör jag då ta reda på a för att komma fram till svaret? Jag kan väl sätta in a i en av ekvationerna för att ta reda på vad det är?
Ja, precis! Sätt in värdena i dina ekvationer, så kommer du att få ut ett ekvationssystem med C och a. Lös detta, och du är klar!
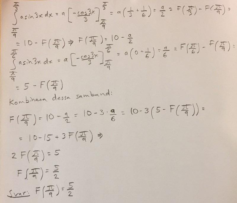
Alternativ lösning nedan där varken eller behöver räknas ut.
