2
svar
127
visningar
jonnefcb behöver inte mer hjälp
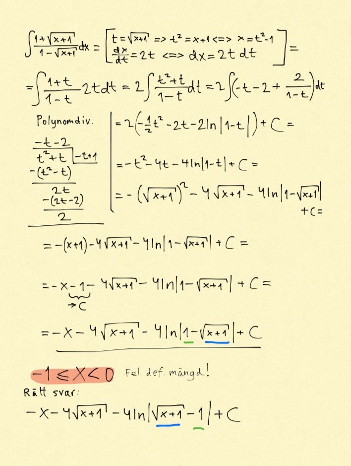
Primitiv funktion - rotuttryck


Om jag deriverar får jag tillbaka ursprungsfunktionen, men definitionsmängden stämmer inte för den primitiva. Vad har jag gjort för fel?
EDIT: Glömde ta hänsyn till absolutbeloppet! Definitionsmängden stämmer visst, den är x > -1
Håller också på med samma uppgift, men pga definitionen av absolutbelopp så kvittar ordningen

3.14 skrev:Håller också på med samma uppgift, men pga definitionen av absolutbelopp så kvittar ordningen
Ah, vad dum jag är. Jag plottade kurvorna i geogebra, men glömde att sätta dit absolutbeloppen. Därav blev kurvorna olika. Jag lurade mig själv. Tack!
