2 svar
126 visningar
Faxxi behöver inte mer hjälp
Faxxi 267
Postad: 29 feb 2020 13:20

Primitiv funktion, variabelsubstitution

Hej! Jag undrar om någon kan lokalisera felet i min lösning till följande uppgift:Min lösning:

1.  Låt F(x)=f(x)dx

2. Variabelsubstitution: Låt u=x3  du=3x2dx

3. Insättning ger F(x)=13e1-udu=13eeudu=e31eudu=e3·lneu+C=e3·u+C=e3·x3+C

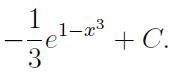
Men facit säger att svaret är De satte dock u=1-x3 men min variabelsubstitution är ju lika användbar - eller?

Snerf 24 – Fd. Medlem
Postad: 29 feb 2020 13:36 Redigerad: 29 feb 2020 13:39

1euduln eu+C

Du vet nog vad felet är nu.

Faxxi 267
Postad: 29 feb 2020 13:46

Vad dum jag är ... Det blir ju bara e3e-udu=e3·-e-u+C=e3·-e-x3+C och det måste ju vara ekvivalent med facits svar. Tack!

Svara
Close