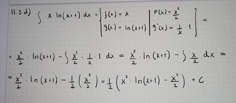
Primitiv funktion x*ln (x+1)
Jag har deriverat min primitiva funktion och det blir inte som det ursprungliga utseendet. Vad kunde jag gjort annorlunda?
derivatan av ln(x+1) = 1/(x+1)
Du tappar bort ettan i nämnaren på andra raden
Jag fick ut det här. Har du något jag jag kan förbättra?
Edit: Ser att jag glömt att lägga ihop den tidigare primitiva funktionen.
en bit ner har du
dx vilket
kan förenklas eftersom
När du har ett bråk, försök alltid få högre grad i nämnarens polynom än i täljaren, fixas medelst polynomdivision
Edit, läste inte tillräckligt noga...
har du deriverat för att verifiera att det blev rätt?
Nej, blev ganska långt att derivera och har inte facit på denna uppgiften så vet inte
ibland kan man göra det lite lättare för sig...

Ok, tack