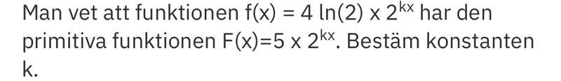
Primitiva funktionen
Man vet att funktionen f(x) = 4 ln(2) x 2kx har den primitiva funktionen F(x)=5 x 2kx. Bestäm konstanten k.
Är det rätt att tänka så här :
4ln(2) * 2kx = 5k * 2kx * ln(2).
Läser ut att k=5/4
Menar du f(x)=4ln(2)* 2kx och F(x)=5*2kx?
Menar du och ?
I så fall stämmer det inte.
Visa hur du resonerade och räknade.
Jag vet inte hur man ska göra. 
Det gäller fmr dig att bestämma vilket värde konstanten ska ha för att ska vara en primitiv funktion till .
Om så är en primitiv funktion till .
Gör alltså så här:
- Derivera . Du får då .
- Sätt upp ekvationen .
- Lös ut ur den ekvationen.
Hur deriverar man
4ln(2)*2^kx =f(x)?
ska jag skriva det som
4*ln (2) * (2^kx)/(ln2) =F(x)?
Ska F(x) vara lika med 5*2^kx?
Du ska derivera . Du har inte svarat på frågan hur ser ut, men jag misstänker att det ska stå .
I så fall använder du en deriveringsregel för exponentialfunktioner och kedjeregeln för att derivera .
Kedjeregeln lär man sig i Ma4
OK. Skriv då om exponentialuttrycket som , som är lika med .
Då kan du använda en befintlig deriveringsregel lite längre ner på samma sida.
4ln(2)*e^ln(2^kx) =5*2^kx
Jag förstår inte vad som är vad i din ekvation.
Vad du får F'(x) till?
(1) vi har funktionen f(x)=4ln(2)* 2^kx
(2) vi skriver om 2^kx som e^ln(2^kx)
(3) f(x)=4*ln(2)*e^ln(2^kx)
Vad blir nästa steg?
Det är F(x) du ska derivera, inte f(x).
Gör så här:
- Skriv om F(x) med hjälp av tipset du fick.
- Derivera F(x). Då får du F'(x)
- Sätt upp ekvationen F'(x) = f(x)
- Lös ut k ur den ekvationen.
F(x)=k*5*2^kx -1
? Hur ska man göra? Förstår inte. Kan du förklara steg för steg hur man ska tänka?
Nu skriver du ett annat F(x) än det du skrev i första inlägget.
Börja med att ladda upp en bild av uppgiften så att vi kan jobba med rätt saker.
Börja med att derivera funktionen F(x).
Katarina149 skrev:
OK gör då så här:
- Skriv om F(x) med hjälp av tipset du fick. Hur ser F(x) ut då?
- Derivera F(x). Då får du F'(x). Hur ser F'(x) ut då?
- Sätt upp ekvationen F'(x) = f(x). Hur ser ekvationen ut då?
- Lös ut k ur den ekvationen. Vad får du då k att bli?
Nej det stämmer inte.
Enligt deriveringsregeln för blir då
Yngve skrev:Nej det stämmer inte.
...
Intressant - jag tänker den omskrivningen som . Resultatet blir förstås detsamma.
Så här får jag till det :

Nej din derivata F'(x) stämmer inte.
Läs det här svaret igen och fräga om det som är oklart eller otydligt.
Är det rätt nu?

OK, har du kontrollerat ditt svar?
Hur kan jag kontrollera mitt svar?
Ersätt k med 4/5 i uttrycket för F(x).
Derivera F(x).
Jämför F'(x) med f(x)

HL=VL
alltså borde det stämma.

