3
svar
125
visningar
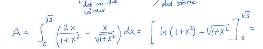
primitiva funktionen till x/sqr(1+x^2) är sqr(1+x^2)?
Hej! Hur kommer de fram till att den primitiva funktionen till = ?

Tack på förhand!
Derivera för att se att det stämmer, sedan kan du tänka dig variabelsubstitution t=x² med dt=2x dx
För att om man deriverar med hjälp av regeln för inre och yttre derivata så får man .
Oj tack! Tydligt och bra förklarat!:D