Primitiva funktioner
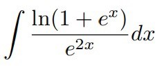
Hej, jag ska hitta den primitiva funktionen till denna funktion och är inte riktigt säker på hur jag ska ta mig an den.

Det första jag gjorde var att jag satte , och sen dx = dt.
Sedan löste jag uppgiften det bästa jag kunde men tycker att det blev väldigt flummigt.
Tänkte mest om någon kunde titta igenom min lösning o säga om de är rätt eller fel och om jag ska göra på något annat sätt. Såhär löste jag den.

Ett bra sätt att kontrollera sina svar är att använda WolframAlpha eller så kan du använda Mathematica/Matlab. Du lär ha tillgång till någon av de om inte bägge två. Det är bra vänja sig vid dessa verktygen. Inte bara kan du vara mer självständig och ta reda på svaren själv, men du kommer med stor sannolikhet behöva använda Matlab/Mathematica senare för vidriga beräkningar du inte vill göra för hand. Då kan det vara bra att man redan är lite rutinerad.