1
svar
98
visningar
Primitiva funktioner
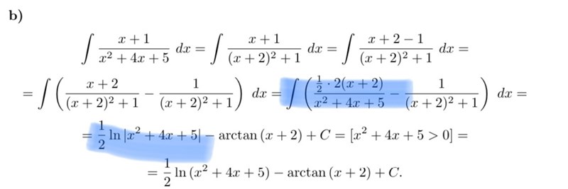
Hej! Jag har en uppgift jag ex förstår lösningen till. 
steget markerat med blått hänger jag inte med på, då jag trodde att det är 1/x som har primitiven ln, inte att det skulle vara x även i täljaren. Hur går detta ihop?
Tänk kedjeregeln baklänges.
Den i integralen blåmarkerade termen är av formen k•f'(x)/f(x), dvs att täljaren är derivatan av nämnaren.
Det gör att en primitiv funktion är k•ln(|f(x)|).är, eftersom derivatan av ln(|f(x)|) enligt kedjeregeln är (1/f(x))•f'(x), dvs f'(x)/f(x).