Primitiva funktioner (3)

Stämmer beräkningarna hittills? Blir osäker på t'...
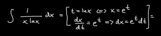
Räkna färdigt. Substituera tillbaka. Derivera din integral för att kontrollera om det stämmer.
Det kluriga i uppgiften är att jag har . Jag jobbade vidare med uppgiften nu när jag är hemma (jag hoppade av tåget för att ta mig vidare hem efter en lång dag).
I boken står . Har man ett annat tillvägagångssätt eller är det min uträkning man har gjort och sedan "vänt" på nämnaren för att det ser "snyggare" ut om x är positiv?
WolframAlpha fick derivera den åt dig. Det stämmer.
Är det korrekt skrivet att sätta överallt? Jag funderade på om det inte är pilar istället (osäker på vilken pil då också). Är mina pilar rätt i andra steget? Jag tycker det men på videos (youtube) gör de tvärtom?

Är det ett slarvfel att jag har satt istället för ?
I din första uppgift hade du kunnat skriva integranden som 1/(x - 1)^2 och då sluppit minustecknet. Så kan man dock inte alltid göra och det är bra att vänja sig vid teckenbyten.
Nästa uppgift:
Det är rätt. Din sista mening förstår jag inte.
Själv hade jag satt
t = ln x, dt = dx/x. Kvar att integrera blir dt/t.
Jag skrev fel i tidigare kommentar men rätt på bilden. Jag är endast osäker på pilarna nu. Här är det rättade med pilarna jag tror stämmer:
Ekvivalenta pilar sätter jag då man kan gå både från HL till VL och tvärtom, alltså den ekvivalenta pilens syfte.