Primitiva funktioner med sinus
Hej,
Nedan följer ett tal jag inte får rätt på. Någon som ser var jag gör fel?

Svaret ska bli -1/2.
Hur räknade du ut ?
Vänta lite. Jag tror jag just insåg mitt fel. I uppgiften tar jag derivatan av t, alltså ska jag skriva dt/dx=t'. Jag har skrivit dx/dt=t'.
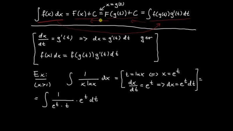
Detta är en video från Youtube av Jonas Månsson (som ni säkert har sett/hört om tidigare):

Där löser han ut x och sätter dx/dt=x'. Jag har alltid räknat med att ta ut t' och fått rätt på samtliga uppgifter. Kan det stämma?
Jag förstår inte riktigt hur du menar med "Hur räknar du ut ". Jag misstänker att du menar att jag skulle ta och fundera över hur jag ska räkna ut det då det var fel (skrev rätt i förra kommentaren). Nu är uppgiften löst och jag har blivit ytterligare lite smartare då jag insåg ännu ett fel jag gjort i samtliga uppgifter.
Föraren skrev :Jag förstår inte riktigt hur du menar med "Hur räknar du ut ". Jag misstänker att du menar att jag skulle ta och fundera över hur jag ska räkna ut det då det var fel (skrev rätt i förra kommentaren). Nu är uppgiften löst och jag har blivit ytterligare lite smartare då jag insåg ännu ett fel jag gjort i samtliga uppgifter.
Jag menade följande:
Problem med at redigera i Latex. Första raden ska vara: