6
svar
142
visningar
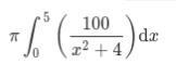
primitv funktion

Hej skulle någon kunna hjälpa mig?
Jag har fastnat på att göra funktionen till en primitiv funktion och vet ej hur man gör.
Tack i förhand
Har du lärt dig om variabelsubstitution?
nej, jag tror inte det
Liknar integralen något du känner till?
vad menar du?
testa att skriva om den till en term som inte är en kvot
Är det en uppgift för Matte 4? Funktionen arctan(x) har en derivata som liknar din integrand. Har ni inte lärt er det så går det knappast att lösa.