viktoriaa skrev:
Två av kateterna är givna, du kan alltså räkna ut hypotenusan - det är en rätvinklig triangel så du kan utnyttja pythagoras sats.
Vet du hur man gör det? Har du någon tanke?

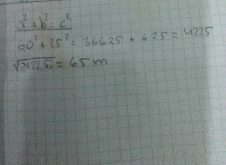
Jag kom fram till svar 65 m, men i facit står det 150m
viktoriaa skrev:
Jag kom fram till svar 65 m, men i facit står det 150m
Det stämmer, hypotenusan är 65 m.
Men frågan var "Hur långt blir staketet?"
Alla sidor är därför relevanta här, du ska alltså beräkna som en slags omkrets, hur tänker du själv? Du har alla tre sidor, och de är ute efter "hur långt staketet" blir.
Jaha, jag hänger med nu.
Tack så mycket:)
Men hur har du räknat?
Kateterna är 60 och 25 m
602 + 252 = 3600 + 625
och 36 625 + 625 är inte lika med 4225
Skrivfel?
60 och 25 stod redan jag skulle räkna sista sidan
60x60= 3600
25x25=625
3600+625= 4225
viktoriaa skrev:60 och 25 stod redan jag skulle räkna sista sidan
60x60= 3600
25x25=625
3600+625= 4225
Det du skrev nu är rätt, Arktos (som var uppmärksam, tack) syftade på det du skrivit på pappret, vilket jag antar var ett slarvfel.

Ja, det var slarv fel😅.
Tack så mycket:)
Bra, nu är vi nöjda alla tre.
Tack för klargörandet, naturnatur1!


