Probelmlösning andragragsekvation
Hej!
Jag har fastnat på den här frågan vet inte hur man ska teckna en evaktion för den???
En man hittas mördad under natten. Polisen hittar mannen
kl. 5:30 på natten efter ett anonymt larmsamtal.
Det dröjer ytterligare 2,5 timmar tills rättsläkare är på plats
för att göra en forensisk undersökning.
Forensikerna fastställer att mannens kroppstemperatur då ligger på 30,5 grader celcius. Man gör ytterligare en mätning
på mannens kroppstemperatur sex timmar senare då temperaturen har sjunkit till 26,5 grader celcius. Utomhustemperaturen är sådan att forensikerna kan anta att kroppstemperaturen avtar exponentiellt.
Då mannen är en ökänd superskurk misstänks genast stadens superhjältar:
Efter vidare utredning och förhör kommer man fram till följande:
Vem är den skyldige?
Flash saknar alibi 23:00-23:30
Dan saknar alibi 23:30-00:00
Jon saknar alibi 0:00 och 0:30
???
Har du verkligen skrivit av uppgiften rätt? Det står ju inte vad det är du skall göra.
frågan är vem av de 3 är skyldig?
Flash saknar alibi 23:00-23:30
Dan saknar alibi 23:30-00:00
Jon saknar alibi 0:00 och 0:30
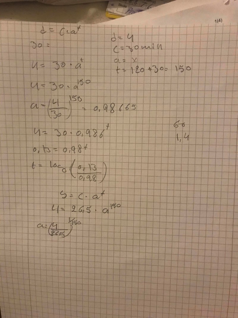
Börja med att teckna ett uttryck för hur snabbt temperaturen avtar för kroppen. dvs, teckna som kommer vara på formen
Detta är alltså inte en andragradsekvation utan en exponentialfunktion.
Jag kom så lång men jag tror det fel hur ska göra??
Vet inte om det är för att jag är inne på telefonen men jag kan tyvärr inte läsa vad det står.
Dracaena skrev:Vet inte om det är för att jag är inne på telefonen men jag kan tyvärr inte läsa vad det står.
Nej, det är väldigt suddigt på min dator också.
Nu kanske syns bättre.
jag hänger inte riktigt med på vad du gjort, vart kommer d=4 ifrån?
Antag att mannen mördades vid en okänd tid. Vid tiden av hans död så har hans kropp temperaturen 37 grader. detta ger oss villkor på C, . Nu vet vi att vår exponentialfunktion är på form . ytterligare vet vi att klockan 8.00 är rättsläkare på plats och att hans temperatur då ligger på 30.5 grader, 6h senare ligger den på 26.5 grader.
Tänk på att du har deras tider då de saknar alibi, dvs att klockan 8.00 då temperaturen är 30.5 grader har det gått x timmar, du kan redan då ta redan på vem det är som måste har mördat mannen eftersom du vet exakt vilka tider de saknar alibi, eller hur?
kommer du vidare?
Jag kom så lång men sen fastnar?
vad ska jag göra?
Du tänker i rätt banor, jag tänkte mig mer att om du har deras alibi vid kl 23.00, kl 23.30, kl 24.00, om kroppen vid 8 har temperaturen 30.5 kan vi lösa ut a eftersom att vi har 3 tider, sedan har vi ju att från 23-14 eller 23.30-14 eller 24-14 skall ge temperaturen 26.5, kalla denna slutgiltiga tiden , kolla vilket när du löst ut a!
Svaret blev 12:12 så det är Jon som sakande alibi då är han skyldig.
är det rätt???
Shakib. Habibi, det står i Pluggakutens regler att man bara får ha en tråd om varje fråga. Jag har just tagit bort din andra tråd om den här uppgiften. /moderator