Hej
Om du kallar t.ex. sen undersöker du vilket är det minsta värdet funktionen kan anta?
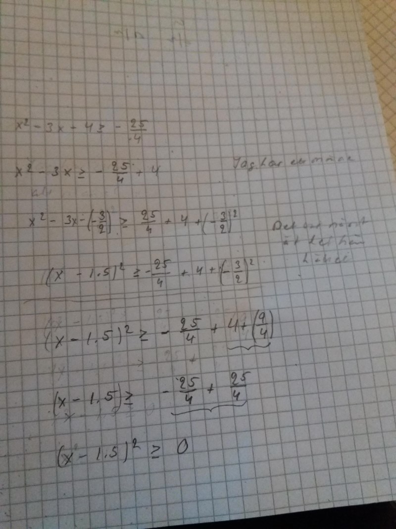
Det spelar ingen rol lom du adderar 4 nu eller efter att du har kvadratkompletterat. Vad blir det i parentesen ? Glöm inte att du skall subtrahera konstanttermen i kvadrat, alternativt addera den till HL.
Nu slarvar du. På rad 3 har du tappat bort ett x och så har du minus framrör parentesen i VL men inte i HL och så har du tappat bort ett minustecken.
På rad 4 har allt blivit som det skall igen men det är ändå inte OK att slarva så, och så har du ett x i kvadrat i parentesen, när det skall vara bara ett x.
Nånting-i-kvadrat är alltid ickenegativt, så du vet att VL inte är negativt. Förenkla HL så att det går att jämföra.
Så här långt är det rätt (nu när du har suddat ut 2an): .
Förenkla HL - det har du gjort, men nu har den felaktiga tvåan hamnat ovanför x i VL igen.
Om du hade gjort rätt, skulle du ha fått , och då hade du varit klar.
Svar: Genom kvadratkomplettering kan man visa att
=
=
och eftersom ett tal i kvadrat alltid är lika med eller större än 0 är detta alltid sant.
Hej Päivi!
En kvadratkomplettering av andragradspolynomet ser ut såhär.
Error converting from LaTeX to MathML
Eftersom talet aldrig är negativt så gäller det att
Om du noterar att så har du alltså visat att
Albiki
Hej!
En kvadratkomplettering av andragradspolynomet x^2-3x-4 ser ut såhär.
Albiki
(Hoppas att det inte blir Error converting from blaha to blaha igen!)
Jag somnade efter maten här. Jag ska titta på ditt Albiki



