3 svar
162 visningar
babufrikk behöver inte mer hjälp
babufrikk 18 – Fd. Medlem
Postad: 10 feb 2021 13:37 Redigerad: 10 feb 2021 13:38

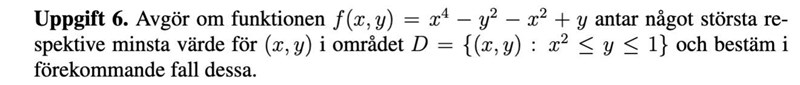
Problem med randpunkter (extremvärden), Lagrange (flervariabelanalys)

Jag har suttit med denna uppgift och försökt få fram det svar som facit anger. Facit säger att max och min är 1/4 resp. -1/4. Trodde den var löst idag efter hjälp från en kursassistent men det visade sig att avskrivningen var fel och således inte alls stämde, vilket nu gör mig konfunderad.

Området är kompakt och f är kontinuerlig.

1. Kritiska punkter är funna och där hittade jag max som är 1/4. Dessutom fann jag två punkter som ger funktionsvärde 0.

2. Inga singulära punkter.

3. Randen. Jag tittade först på y=1 och hittade inga nya punkter som gav annat än 0 i funktionsvärde. För randen y=x^2 har jag försökt med lagrange, som återigen kommit fram till att x=0 (likt de andra undersökningarna kring kritiska punkter och randen y=1). Ekvationerna från lagrange blir tämligen konstiga och "cancellerar ut" det variablerna. Vad kan jag göra för fel?

 

Tack!

Smaragdalena 78892 – Avstängd
Postad: 10 feb 2021 13:44

Hur ser dina "tämligen konstiga" ekvationer från lagrange ut? Det är svårt för oss att hjälpa dig med den lilla info du har givit. Vi som svara här är bra på matte, men vi är usla på tankeläsning.

babufrikk 18 – Fd. Medlem
Postad: 10 feb 2021 13:50 Redigerad: 10 feb 2021 13:51
Smaragdalena skrev:

Hur ser dina "tämligen konstiga" ekvationer från lagrange ut? Det är svårt för oss att hjälpa dig med den lilla info du har givit. Vi som svara här är bra på matte, men vi är usla på tankeläsning.

Tack för svar. Det verkar som att jag alltid lyckas lösa problemen precis när jag efterfrågat hjälp, för nu slog det mig att det inte är i Lagrange det är konstigt. Jag plottade funktionen över området och det visar sig att värdena jag letar efter inte alls befinner sig på y=x^2, jag har således undersökt fel sak.

 

Det som jag hade missat var att i undersökningen av y=1 hitta kritiska punkter till f(x,1) med hjälp av derivatan, vilket nu visade sig ge mig svar.

 

Tack för att du ändå tog dig tiden!

Smaragdalena 78892 – Avstängd
Postad: 10 feb 2021 13:56

Jag hade funderat på att be dig lägga upp en bild av området D men så svarade jag p ett annat sätt istället...

Svara
Close