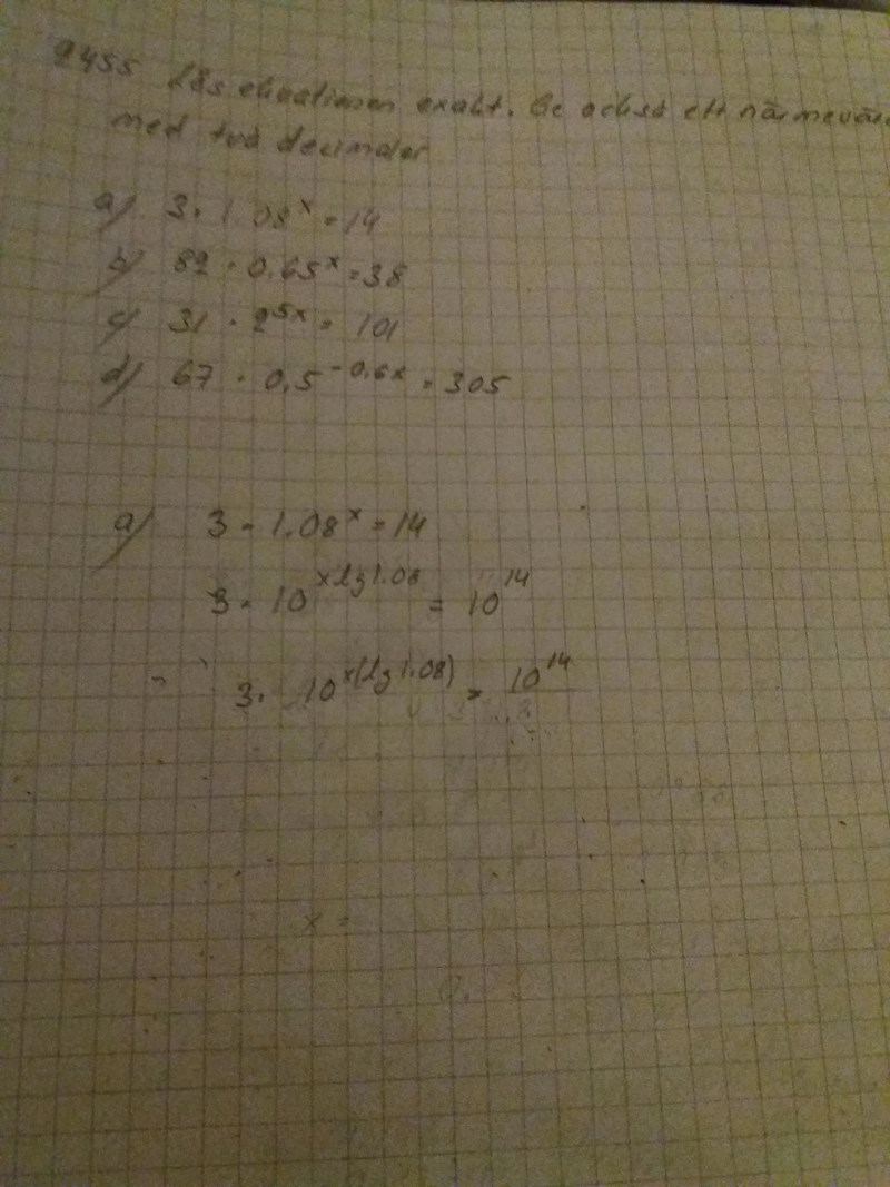
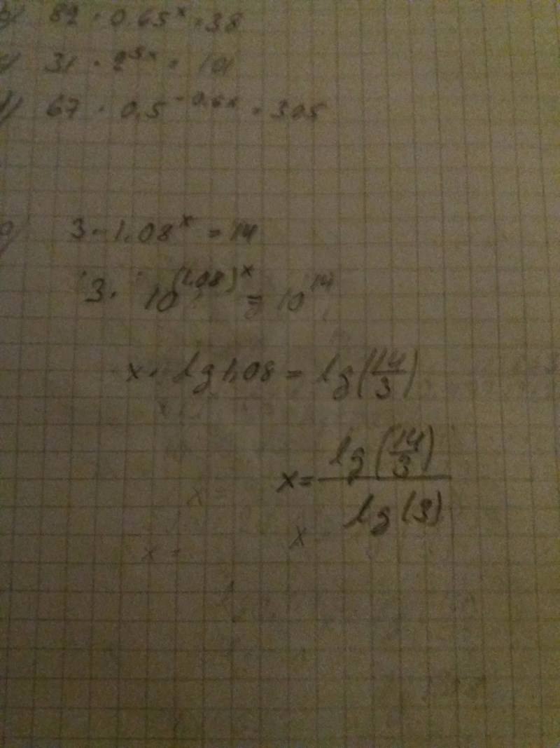
Skriv om 1,08 med 10 som bas. Skriv om HL med 10 som bas. Nu måste exponenterna vara lika.
Menar du så här Magdalena?
Lyckas inte.
logaritmera bägge led
utnyttja räkneregel för logaritmer lg(a^b) = b*lg(a)
dela bägge led med lg(1,08)
Fortsätt själv!
Jag får inte det rätt med min miniräknare. Den ger för låg siffra.
Nu lyckades jag göra rätt med mini räknaren. Jag måste skriva detta i min block, hur jag gjorde med miniräknaren för att få korrekt svar.
Tack i alla fall.
Ser du själv vilka fel du gjorde i denna uträkning Päivi?
Annars pekar jag gärna ut dem.

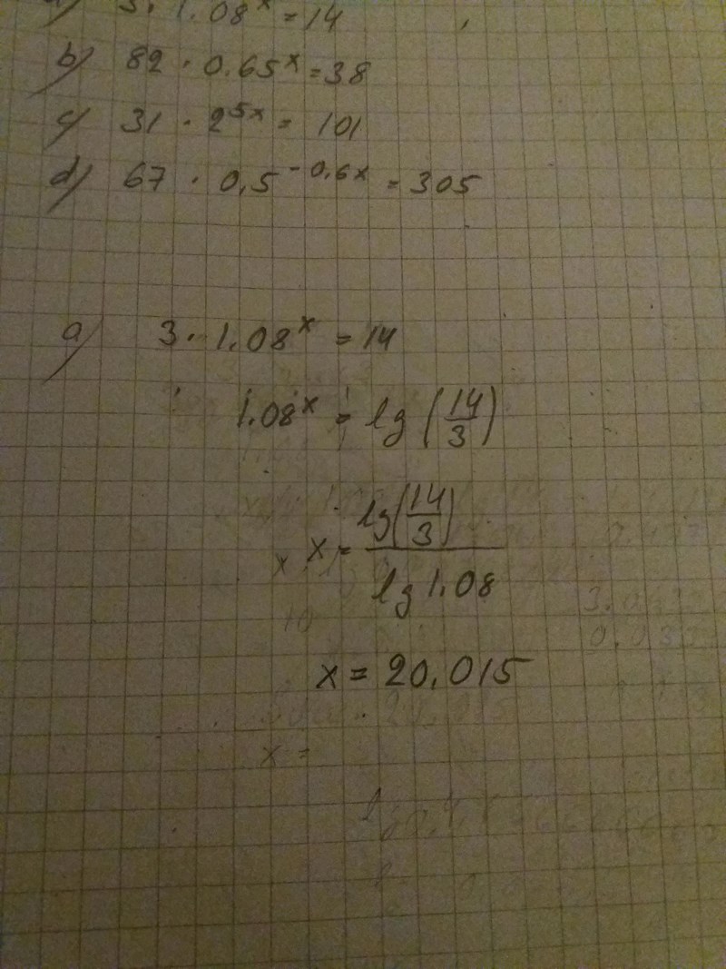
Inte skulle det vara 8. Förbaskade mig. Det ska vara 1.08 istället. Jag ska visa nytt kort.
Päivi skrev :Inte skulle det vara 8. Förbaskade mig. Det ska vara 1.08 istället. Jag ska visa nytt kort.
Det finns ett fel till.
En ytterligare rättning. Se den senaste
Päivi skrev :
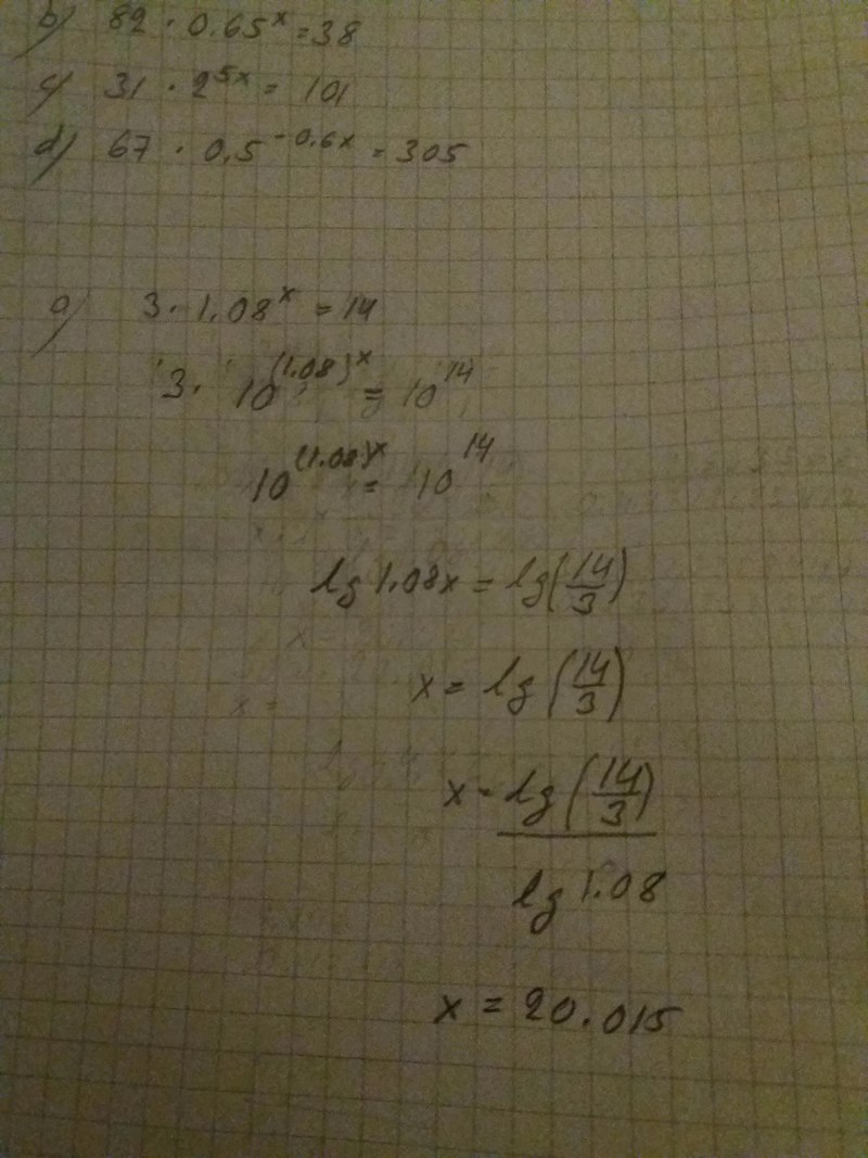
- Rad 2 säger inte samma sak som rad 1 och rad 3.
- Det ska vara att x är ungefär lika med 2,016
Är detta bättre då?
Facit säger inte så och inte min miniräknare heller Yngve. Min miniräknare ger svaret enligt facit.
Päivi skrev :Är detta bättre då?
Nej det är inte bättre.
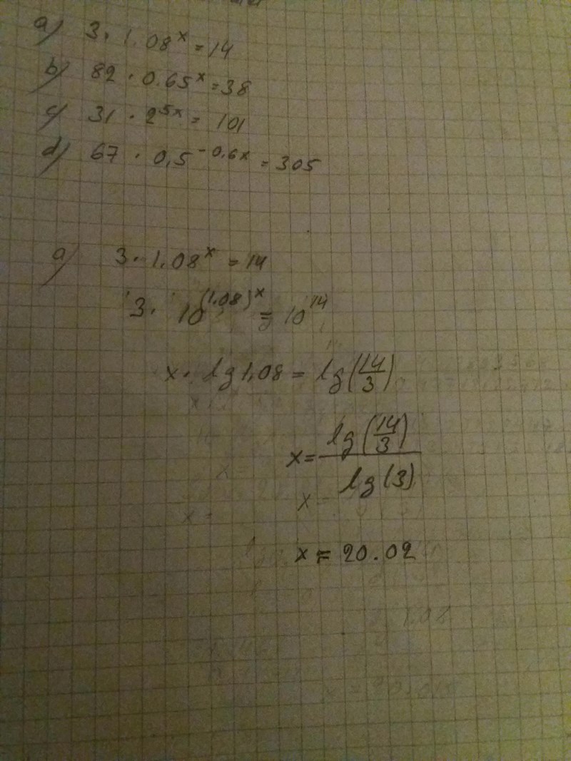
Så här ska det stå:
Dividera med 3:
Logaritmera:
Använd logaritmlag i VL:
Dividera med :
Beräkna närmevärden:
Hur gör du för att få ett annat svar?
Rätta kortet hamnade överst. Bry dig inte om de andra. Titta vad miniräknaren också visar, Yngve!
Ja. 20,015 är inte korrekt. Med avrundning till tre decimaler är 20,016 korrekt precis som jag skrev tidigare. Avrundat till två decimaler blir det 20,02 precis som jag skrev.
(jag skrev fel i ett tidigare svar där jag skrev att närmevärdet var 2,016)
Din uträkning är fortfarande fel.
Rad 2 säger inte samma sak som rad 1 och rad 3 (gulmarkerad)
För korrekt uträkning se mitt svar här.

Päivi skrev :
Ja nu ser det bra ut Päivi.
Förutom slarvfelet att det ska stå lg(1,08) och inte lg(3) i högerledets nämnare (rödmarkerat).
Det var miss av mig, eftersom jag skrev parentes till den andra. Därför blev det så där.






9



